电脑桌面
添加小米粒文库到电脑桌面
安装后可以在桌面快捷访问

数列的通项公式(重要完整)

数列的通项公式(重要完整)_第1页
1/8
数列的通项公式(重要完整)_第2页
2/8
数列的通项公式(重要完整)_第3页
3/8
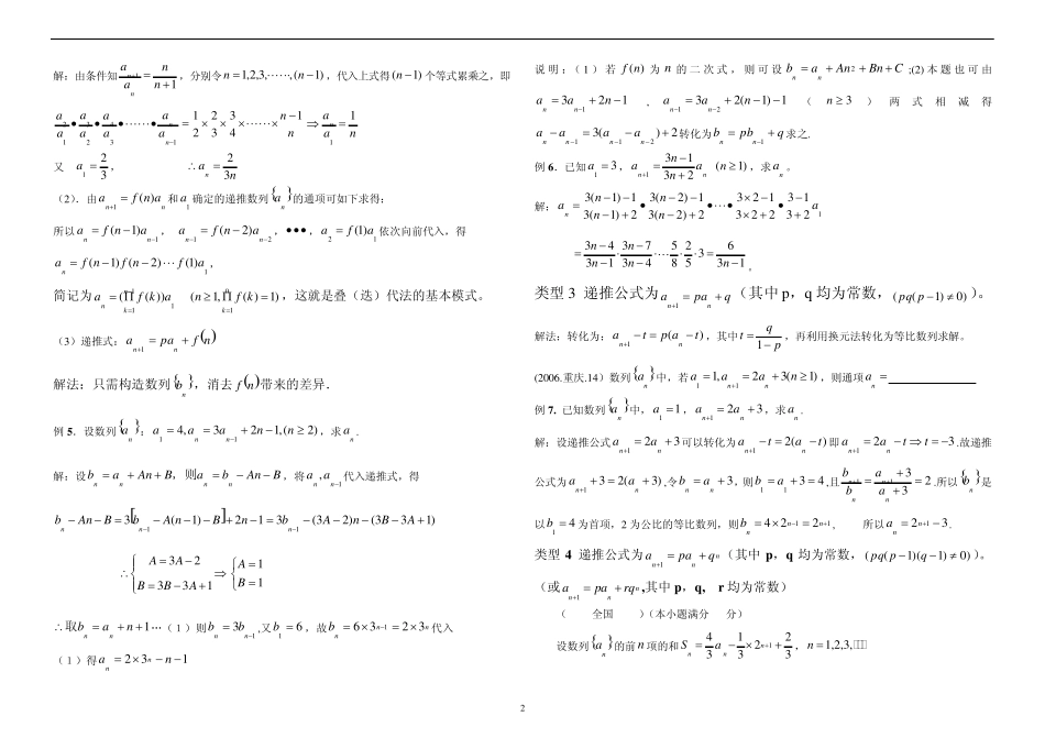
1 数列通项公式的求法 各种数列问题在很多情形下,就是对数列通项公式的求解。特别是在一些综合性比较强的数列问题中,数列通项公式的求解问题往往是解决数列难题的瓶颈。本文总结出几种求解数列通项公式的方法,希望能对大家有帮助。 一、定义法 直接利用等差数列或等比数列的定义求通项的方法叫定义法,这种方法适应于已知数列类型的题目. 例1.等差数列 na是递增数列,前n项和为nS ,且931,,aaa成等比数列,255aS .求数列 na的通项公式. 解:设数列 na公差为 )0(dd 931,,aaa成等比数列,∴9123aaa ,即)8()2(1121daadadad12  0d, ∴da 1„„„„„„„„„„„„① 255aS  ∴211)4(2455dada„„„„② 由①②得:531 a,53d ∴nnan5353)1(53】 点评:利用定义法求数列通项时要注意不用错定义,设法求出首项与公差(公比)后再写出通项。 二、公式法 若 已知数列的前n 项和nS与na的关 系 ,求数列 na的通项na可 用公式2111nSSnSannn求解。 例2 .已知数列 na的前n 项和nS 满足1,)1(2naSnnn.求数列 na的通项公式。 解:由1121111aaSa 当2n时,有,)1(2)(211nnnnnnaaSSa 1122 ( 1),nnnaa   ,)1(22221nnnaa„„,.2212 aa 11221122( 1) 2( 1)2 ( 1)nnnnnaa       ].)1(2[323])2(1[2)1(2)]2()2()2[()1(21211211nnnnnnnnn 经验证11 a也满足上式,所以])1(2[3212nnna 点评:利用公式211nSSnSannnn求解时,要注意对n 分类讨论,但若能合写时一定要合并. 三、由递推式求数列通项法 对于递推公式确定的数列的求解,通常可以通过递推公式的变换,转化为等差数列或等比数列问题,有时也用到一些特殊的转化方法与特殊数列。 类型1 递推公式为)(1nfaann 解法:把原递推公式转化为)(1nfaann,利用累加法(逐差相加法)求解。 (2004 全 国 卷 I.22) 已知数列 na中,12211,( 1) ,kkkaa 且a2123kkkaa , 其 中1, 2 , 3 ,k „„,求数列...

1、当您付费下载文档后,您只拥有了使用权限,并不意味着购买了版权,文档只能用于自身使用,不得用于其他商业用途(如 [转卖]进行直接盈利或[编辑后售卖]进行间接盈利)。
2、本站所有内容均由合作方或网友上传,本站不对文档的完整性、权威性及其观点立场正确性做任何保证或承诺!文档内容仅供研究参考,付费前请自行鉴别。
3、如文档内容存在违规,或者侵犯商业秘密、侵犯著作权等,请点击“违规举报”。

碎片内容

数列的通项公式(重要完整)

小辰9+ 关注
实名认证
内容提供者

出售各种资料和文档

相关文档

确认删除?
VIP
微信客服
  • 扫码咨询
会员Q群
  • 会员专属群点击这里加入QQ群
客服邮箱
回到顶部