电脑桌面
添加小米粒文库到电脑桌面
安装后可以在桌面快捷访问

环评:工业源(点、面和体源)扩散

环评:工业源(点、面和体源)扩散_第1页
1/10
环评:工业源(点、面和体源)扩散_第2页
2/10
环评:工业源(点、面和体源)扩散_第3页
3/10
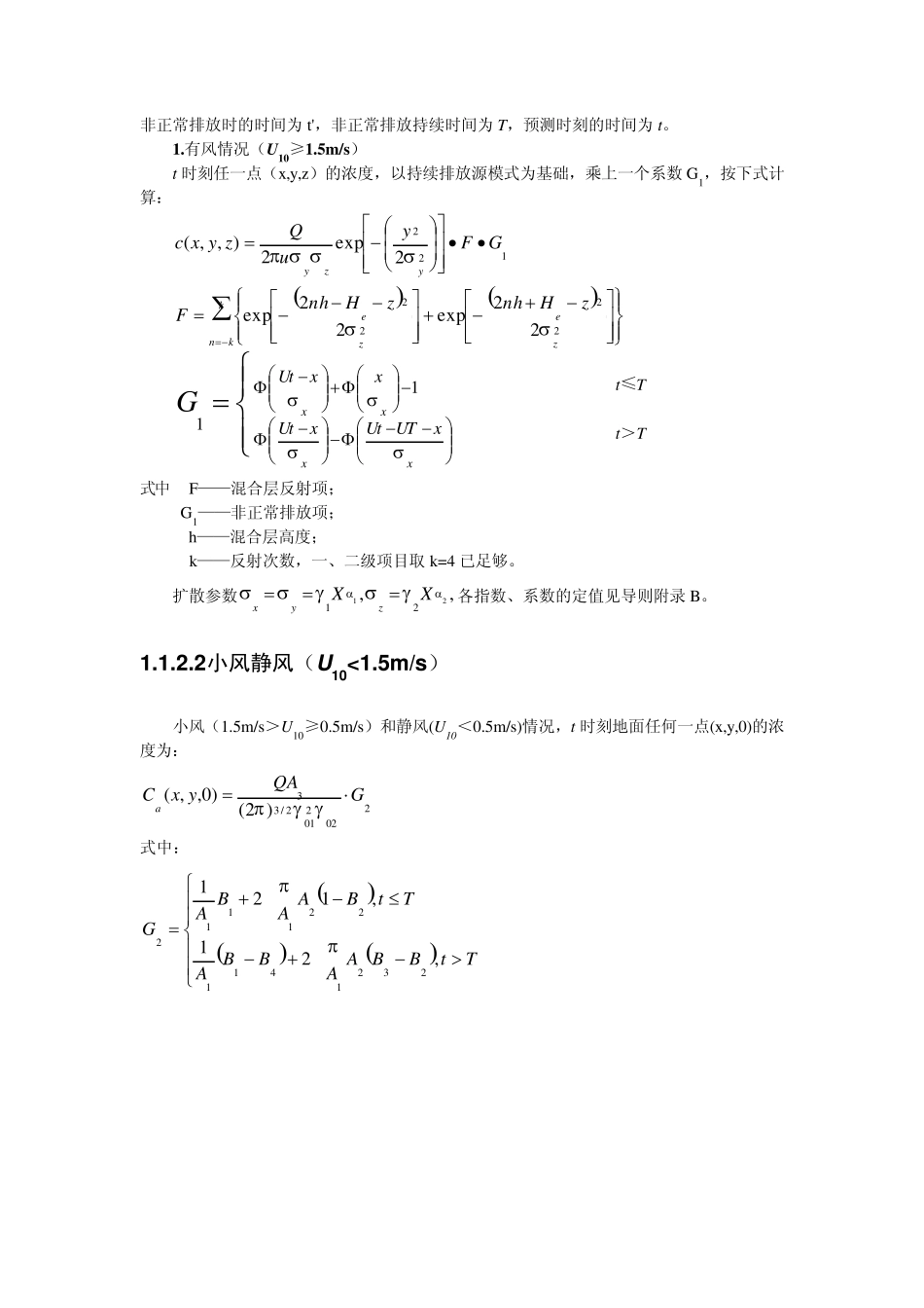
1.1 点源扩散模式 1 .1 .1 持续排放源 1.1.1.1 有风模式(U10≥1.5m/s) 1 .自由空间中的连续点源 实际上绝大多数污染源都是连续的,对于连续排放源,可理解为在时间上依次连续释放无穷多个烟团。因此,连续排放源的扩散模式可以通过将瞬时单烟团模式对to 从—∞到 t 积分后求得。以烟团初始空间坐标为原点,下风方为x 轴,烟羽轴线与 x 轴一直保持重合,zyx,,都是x 的函数,将对to 的积分变换为对(x—uT)/σ x 的积分,可得最基本的烟羽扩散模式: 22222exp2exp2,,zyzyzyuQzyxC 适用条件为:自由空间;风速要比较大(u10≥1.5m/s);当大气不稳定状态时,可能带来一定的误差。 2 .地面反射 用像源法,假想地平线为一镜面,在其下方有一与真实源完全对称的虚源,则这两个源叠加后的效果和真实源考虑到地面反射的结果是等价的。以烟囱地面位置的中心点为坐标原点,在考虑到地面反射后,污染源下风方任一点小于24 小时取样时间的污染物浓度 C(x,y,z)由下式给出: 2222222exp2exp2exp2,,zezeyzyHzHzyuQzyxC z=0 时的地面浓度 C(x,y,0),可简化为; 222222exp0,,zeyzyHyuQyxC 下风方 X 轴线上(y=0)的地面浓度 C(x,0,0)为: 22212exp0,0,zeHuQxC 对于较低的排放源(例如 He<50m,具体限值由地面粗糙度、混合层高度等因素决定),一般可直接应以上式子计算。 3 .混合层反射 对于高架源,当超过一定的下风距离时,需对烟羽在混合层顶的反射进行修正。同考虑地面反射类似,用像源法修正后,污染源下风方任一点小于24 小时取样时间的污染物浓度C(x,y,z)可表示为: FyuQzyxcyzy222exp2),,( kknzezezHnhzHnhF222222exp22exp 式中 h——混合层高度; k——反射次数,一、二级项目取 k=4 已足够。 4 .侧面反射 详见狭长山谷扩散模式。 1.1.1.2 小风静风模式(U10<1.5m/s) 小风静风时,污染物地面浓度 C(x,y,0)可用下式计算:   GQYXcL2022/32...

1、当您付费下载文档后,您只拥有了使用权限,并不意味着购买了版权,文档只能用于自身使用,不得用于其他商业用途(如 [转卖]进行直接盈利或[编辑后售卖]进行间接盈利)。
2、本站所有内容均由合作方或网友上传,本站不对文档的完整性、权威性及其观点立场正确性做任何保证或承诺!文档内容仅供研究参考,付费前请自行鉴别。
3、如文档内容存在违规,或者侵犯商业秘密、侵犯著作权等,请点击“违规举报”。

碎片内容

环评:工业源(点、面和体源)扩散

小辰8+ 关注
实名认证
内容提供者

出售各种资料和文档

确认删除?
VIP
微信客服
  • 扫码咨询
会员Q群
  • 会员专属群点击这里加入QQ群
客服邮箱
回到顶部