电脑桌面
添加小米粒文库到电脑桌面
安装后可以在桌面快捷访问

7年级数学暑假作业整数分数小数混合运算100道

7年级数学暑假作业整数分数小数混合运算100道_第1页
1/8
7年级数学暑假作业整数分数小数混合运算100道_第2页
2/8
7年级数学暑假作业整数分数小数混合运算100道_第3页
3/8
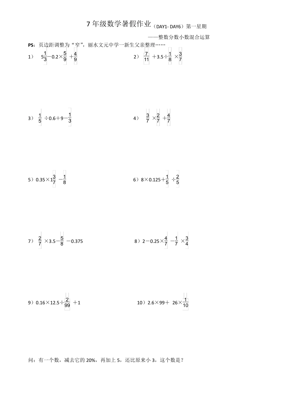
7 年级数学暑假作业(DAY1- DAY6)第一星期 ——整数分数小数混合运算 PS:页边距调整为“窄”,丽水文元中学一新生父亲整理…… 1) 513-0.2×59 +49 2) 711 +3.5÷18 ×37 3) 15 ÷0.6+9-13 4) 37 ×27 +47 5)0.35×137 -18 6)8×0.125+15 ÷25 7) 27 ×3.5-58 -0.375 8)2-0.25×47 -17 ×34 9)0.16×12.5÷ 299 +1 10)2.6×99+ 26× 110 问:有一个数,减去它的 20%,再加上 5,还比原来小3,这个数是? (DAY2) 11)0.25×0.25+14 ×34 12)47 +38 ÷0.125×17 13)(58 +14 )×117 ÷0.625 14)16 ×6÷16 ×6 15)22.1÷(513 ×20%+1 313 ) 16)512 × 113 -14 ÷13 17)0.32×(414 +14 ÷18 ) 18) 37 ×49÷9-0.4÷ 310 19)(13.6+625 )×(6.5-3412 ÷23) 20)89 ×1536 + 127 21)37 ×59 + 27 ×59 ×2 22)34 ×89 -13 +13÷65 -56 23)8.12-7÷( 910 +3.1×11) 24) 315 ×(1.5+212 )÷135 25) ( 922 + 111 ÷0.5) ×10% 问:火药配方中硫磺-硝石-木炭的配比是 2:1:7,要做 23 公斤火药,需要木炭多少? 计算: 11×2 + 12×3 +1 3×4 + 14×5 + 15×6 +……+1 99×100 (DAY3) 26)(7 110 -5.6)×0.9-1.15 27)(6.8-645 ×0.55) ÷812 28)0.12×445 ÷0.12×445 29)545 ×(3.8-0.1)+4.2×3.7 30)(234 -34 )×25 ×0.55 31)(2-23 ÷12 )×0.4 32)10.15-1034 ×0.4-5.7 33)9.9× 310 +7×(1 1100 -150 ) 34)58 ÷1.25+ 322 ÷ 911 35)12.5×3+ 1125 +12.5×5 36)18 110 +(3-0.299÷0.23)×7 37)5×〔(315 +4.06)÷6.05〕 38)725 ×1.3-4.68÷ 910 39) [10-(15 +16.7×0.7)] ×0.2 40) 4.53+1945 ÷(26.8-115 ×4) 问:水结成冰后,体积会增加 110 ,那需要 3 立方米的水时,要融化多少立方米的冰? 计算:11×2×3 +12×3×4 +13×4×5 +14×5×6 +15×6×7 +……+198×99×100 (DAY4) 41)1.2×[7-4÷( 215 +23 )+2÷112 ] 42)(4.2÷70%+6)× ( 732 ×31+ 732 ) 43)(14 -14 ×12 )÷14 44)56 +1.125×59 ×89 45)910 ×[78 ÷(45 +0.25)] 46) (38 + 127 )×8+1927 47)38 +(37 + 1...

1、当您付费下载文档后,您只拥有了使用权限,并不意味着购买了版权,文档只能用于自身使用,不得用于其他商业用途(如 [转卖]进行直接盈利或[编辑后售卖]进行间接盈利)。
2、本站所有内容均由合作方或网友上传,本站不对文档的完整性、权威性及其观点立场正确性做任何保证或承诺!文档内容仅供研究参考,付费前请自行鉴别。
3、如文档内容存在违规,或者侵犯商业秘密、侵犯著作权等,请点击“违规举报”。

碎片内容

7年级数学暑假作业整数分数小数混合运算100道

您可能关注的文档

小辰2+ 关注
实名认证
内容提供者

出售各种资料和文档

确认删除?
VIP
微信客服
  • 扫码咨询
会员Q群
  • 会员专属群点击这里加入QQ群
客服邮箱
回到顶部