电脑桌面
添加小米粒文库到电脑桌面
安装后可以在桌面快捷访问

dirac符号,正规乘积

dirac符号,正规乘积_第1页
1/9
dirac符号,正规乘积_第2页
2/9
dirac符号,正规乘积_第3页
3/9
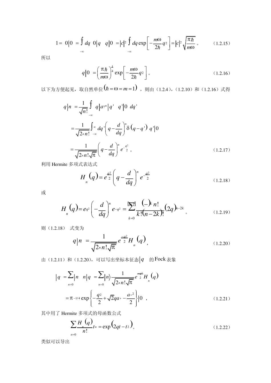
§1 .2 坐标、动量表象和粒子数表象 表象(representation)原指客观事物在人类大脑中的映象,量子力学中的“表象”最早由 Dirac引入,用以描述不同坐标系下微观粒子体系的状态和力学量的具体表示形式。他把系统状态的波函数看成抽象空间中的态矢量在某个表象中的表示,力学量的本征函数即此空间的一组基矢。完备性是基矢成为表象的必要条件,但完备性的证明则因其烦琐和缺乏普适而有力的积分方法而成为历来困扰物理学家的一个难题,这极大地限制了新表象的发现。由于针对不同的问题选取适当的表象进行求解往往可以达到事半功倍的效果,而新表象的缺乏也使得对量子力学中某些问题的探讨变得异常困难。IWOP 技术恰恰提供了构建各种新的表象的有效方法。它赋予基本的坐标、动量表象完备关系以清晰的数学内涵并将其化为纯高斯积分的形式,从而使其成为对于数学家而言“如同 2×2=4一样简单的东西”;它也可以简化相干态完备性的证明,其结果与通常的展开相干态为粒子数态(Fock表象)的方法殊途同归;对于给定的基矢,通过类似的方法也可以容易地检验其完备性或做出合适的推广,导致大量新表象的出现,如多粒子纠缠态表象、相干纠缠态表象等,它们使量子力学理论绚丽多彩。在介绍 IWOP技术之前,我们需要回顾一些必要的基础知识. 令Q 、P 分别为厄米的坐标和动量算符,满足 Heisenberg正则对易关系(为普朗克常数)  , .QPi  (1.2.1) Q 和 P 的本征态分别是 q 和 p ,则有 , ''Q qq qq qq q; , ''P pp pp ppp; (1.2.2) 且 dq Piqdq  , dp Qipdp , (1.2.3) Dirac 给出的完备性关系是 1dq q q, 1dp p p。 (1.2.4) Fock态的引入可以从谐振子哈密顿量的因式分解法(factoriz ation method)加以说明。在因式分解中引入了升、降算符概念,把谐振子相邻能级和本征态联系起来。假设一维谐振子的哈密顿量是 2221122HPmQm , (1.2.5) 用Q 和 P 定义湮灭算符a 和产生算符†a ,†a 是a 的厄米共轭,即 12mPaQim, (1.2.6) †12mPaQim, (1.2.7) 则易得 † , 1aa  。 (1.2.8) 一维谐振子的哈密顿量可改写为 †12Ha a, (1.2.9) 定义粒子数算符†Na a,它的本征态记为 n ,则有 20n ...

1、当您付费下载文档后,您只拥有了使用权限,并不意味着购买了版权,文档只能用于自身使用,不得用于其他商业用途(如 [转卖]进行直接盈利或[编辑后售卖]进行间接盈利)。
2、本站所有内容均由合作方或网友上传,本站不对文档的完整性、权威性及其观点立场正确性做任何保证或承诺!文档内容仅供研究参考,付费前请自行鉴别。
3、如文档内容存在违规,或者侵犯商业秘密、侵犯著作权等,请点击“违规举报”。

碎片内容

dirac符号,正规乘积

您可能关注的文档

小辰5+ 关注
实名认证
内容提供者

出售各种资料和文档

确认删除?
VIP
微信客服
  • 扫码咨询
会员Q群
  • 会员专属群点击这里加入QQ群
客服邮箱
回到顶部