电脑桌面
添加小米粒文库到电脑桌面
安装后可以在桌面快捷访问

《流体力学》Ⅱ主要公式及方程式

《流体力学》Ⅱ主要公式及方程式_第1页
1/8
《流体力学》Ⅱ主要公式及方程式_第2页
2/8
《流体力学》Ⅱ主要公式及方程式_第3页
3/8
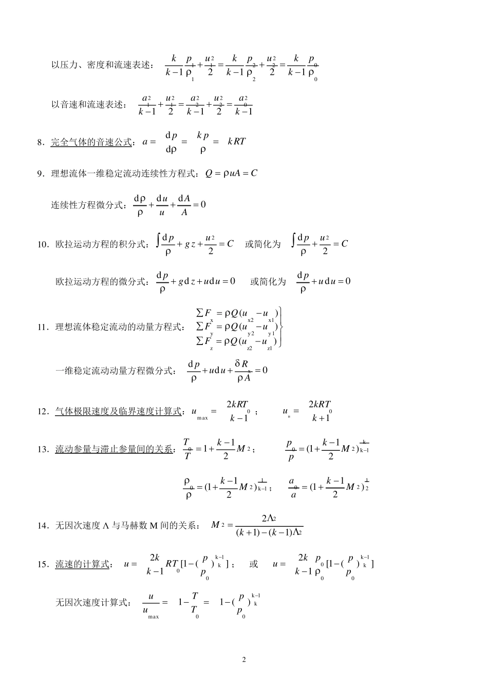
1 《流体力学与流体机械》(下)主要公式及方程式 1.流体力学常用准数: (1) 雷诺准数  luRe (2) 欧拉准数 2Euup (3) 牛顿准数 22NeluF (4) 付鲁德准数 lgu 2Fr  (5) 马赫准数 auM (6) 斯特罗哈准数 luSt (7) 阿基米德准数 TTulg 2Ar (8) 格拉晓夫准数23Grtlg (9) 韦伯准数 lu 2We  2.气体等压比热和等容比热计算式:1p kRkC; 1v kRC 3.完全气体比焓定义式:TCRTepeip 4.完全气体状态方程式: TRp 状态方程微分式: TTppddd  5.完全气体等熵过程方程式:Cp k 等熵过程方程微分式: ddkpp  气体压力p、密度 ρ 和温度 T 之间的等熵关系:1kk12k1212)()(TTpp 6.气体熵增计算式:)]()ln[(lnln211kk121212p12ppTTRppRTTCss 7.热力学第一定律的能量方程式:weuzgpqeuzgp22222212111122 可压缩理想流体绝热流动能量方程式: 022221122iuiui 以温度和流速表述: 0p222p211p22TCuTCuTC 以温度和流速表述: 022221112121TRkkuTRkkuTRkk 2 以压力、密度和流速表述: 002222211112121pkkupkkupkk 以音速和流速表述: 121212022222121kaukauka 8.完全气体的音速公式:TRkpkpadd 9.理想流体一维稳定流动连续性方程式:CuAQ  连续性方程微分式:0dddAAuu 10.欧拉运动方程的积分式:Cuzgp2d2 或简化为 Cup2d2 欧拉运动方程的微分式:0ddduuzgp 或简化为 0dduup 11.理想流体稳定流动的动量方程式: )()()(z1z2zy1y2yx1x2xuuQFuuQFuuQF 一维稳定流动动量方程微分式: 0ddx ARuup 12.气体极限速度及临界速度计算式:120maxkTkRu; 120*kkRTu 13.流动参量与滞止参量间的关系:20211MkTT; 1kk20)211(Mkpp 1k120)211(Mk; 2120)211(Mkaa 14.无因次速度 Λ 与马赫数 M 间的关系: 222)1()1(2kkM 15.流速的计算式: ])(1[12k1k00ppRTkku; 或 ])(1[12k1k000pppkku 无因次速度计算式: k1k00max)(11ppTTuu 3 16.质量流量的计算式: ])()[(12k...

1、当您付费下载文档后,您只拥有了使用权限,并不意味着购买了版权,文档只能用于自身使用,不得用于其他商业用途(如 [转卖]进行直接盈利或[编辑后售卖]进行间接盈利)。
2、本站所有内容均由合作方或网友上传,本站不对文档的完整性、权威性及其观点立场正确性做任何保证或承诺!文档内容仅供研究参考,付费前请自行鉴别。
3、如文档内容存在违规,或者侵犯商业秘密、侵犯著作权等,请点击“违规举报”。

碎片内容

《流体力学》Ⅱ主要公式及方程式

小辰4+ 关注
实名认证
内容提供者

出售各种资料和文档

确认删除?
VIP
微信客服
  • 扫码咨询
会员Q群
  • 会员专属群点击这里加入QQ群
客服邮箱
回到顶部