电脑桌面
添加小米粒文库到电脑桌面
安装后可以在桌面快捷访问

一元二次不等式解法及集合运算练习题

一元二次不等式解法及集合运算练习题_第1页
1/6
一元二次不等式解法及集合运算练习题_第2页
2/6
一元二次不等式解法及集合运算练习题_第3页
3/6
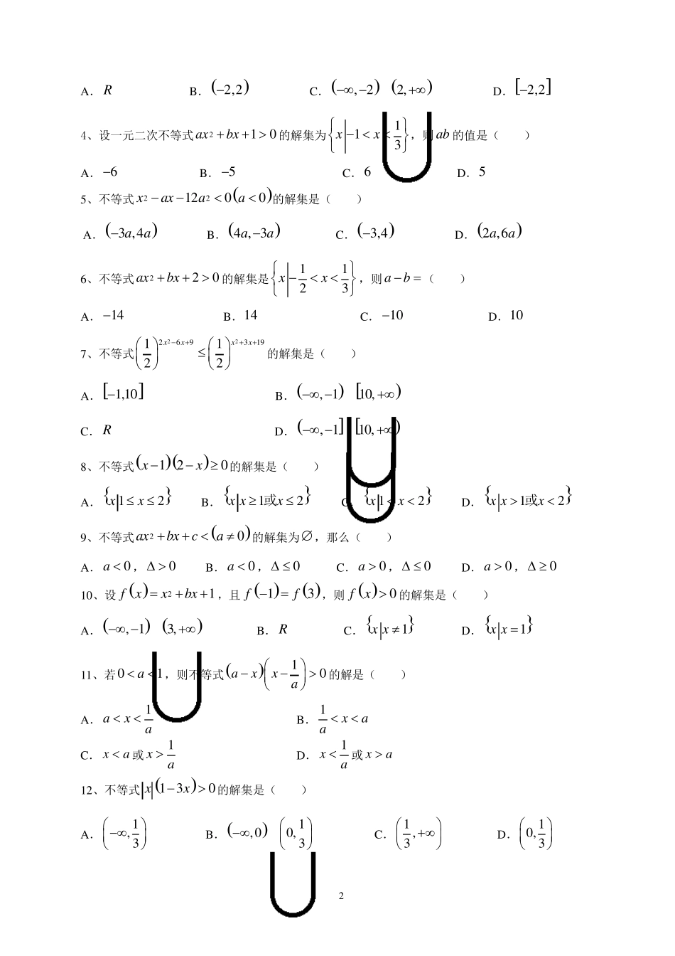
1 必修5 《一元二次不等式及其解法》练习卷 知识点: 1、一元二次不等式:只含有一个未知数,并且未知数的最高次数是2 的不等式. 2、二次函数的图象、一元二次方程的根、一元二次不等式的解集间的关系: 判别式24bac  0  0  0  二次函数2y axbx c 0a 的图象 一元二次方程20axbx c 0a 的根 有两个相异实数根 1,22bxa  12xx 有两个相等实数根122bxxa  没有实数根 一元二次不等式的解集 20axbx c 0a  12xx xx x或 2bxxa  R 20axbx c 0a  12xxx x   同步练习: 1、不等式2654xx的解集为( ) A.41,,32  B.4 1,3 2 C.14,,23  D.1 4,2 3 2、设集合12xx ,0xx a ,若    ,那么实数a 的取值范围是( ) A.1, B.2, C.,2 D.1, 3、若不等式210xmx 的解集为 R ,则 m 的取值范围是( ) 2 A.R B.2,2 C. , 22,  D.2,2 4、设一元二次不等式210axbx 的解集为113xx ,则ab 的值是( ) A.6 B.5 C.6 D.5 5、不等式221200xaxaa的解集是( ) A.3 ,4aa B.4 , 3aa C.3,4 D.2 ,6aa 6、不等式220axbx的解集是1123xx,则ab ( ) A.14 B.14 C.10 D.10 7、不等式222693191122xxxx的解集是( ) A.1,10 B. , 110,  C.R D. , 110,  8、不等式1 20xx的解集是( ) A.12xx B.12x xx或 C.12xx D.12x xx或 9、不等式20axbxca的解集为,那么( ) A.0a ,0 B.0a ,0 C.0a ,0 D.0a ,0 10、设  21f xxbx ,且   13ff,则  0f x 的解集是( ) A. , 13,  B.R C.1x x  D.1x x...

1、当您付费下载文档后,您只拥有了使用权限,并不意味着购买了版权,文档只能用于自身使用,不得用于其他商业用途(如 [转卖]进行直接盈利或[编辑后售卖]进行间接盈利)。
2、本站所有内容均由合作方或网友上传,本站不对文档的完整性、权威性及其观点立场正确性做任何保证或承诺!文档内容仅供研究参考,付费前请自行鉴别。
3、如文档内容存在违规,或者侵犯商业秘密、侵犯著作权等,请点击“违规举报”。

碎片内容

一元二次不等式解法及集合运算练习题

小辰2+ 关注
实名认证
内容提供者

出售各种资料和文档

相关文档

确认删除?
VIP
微信客服
  • 扫码咨询
会员Q群
  • 会员专属群点击这里加入QQ群
客服邮箱
回到顶部