电脑桌面
添加小米粒文库到电脑桌面
安装后可以在桌面快捷访问

一元函数微分学练习题

一元函数微分学练习题_第1页
1/6
一元函数微分学练习题_第2页
2/6
一元函数微分学练习题_第3页
3/6
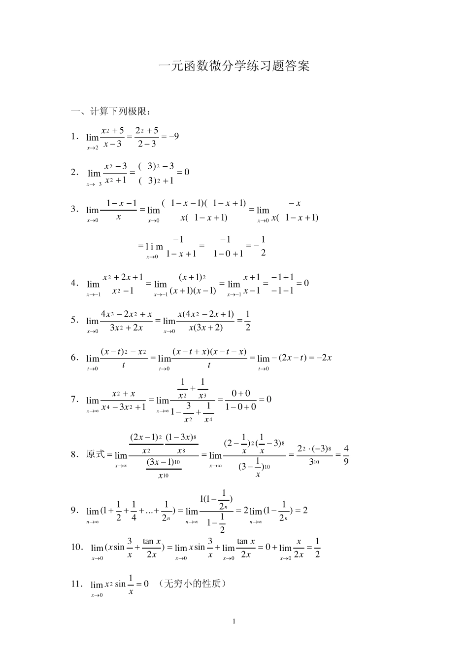
1 一元函数微分学练习题答案 一、计算下列极限: 1.9325235lim222xxx 2.01)3(3)3(13lim22223xxx 3.xxx11lim0)11(lim)11()11)(11(lim00xxxxxxxxx 211011111l i m0xx 4.0111111lim)1)(1()1(lim112lim121221xxxxxxxxxxx 5.21)23()124(lim2324lim202230xxxxxxxxxxxx 6.xtxtxtxxtxtxtxttt2)2(lim))((lim)(lim00220 7.00010013111lim13lim4232242xxxxxxxxxx 8.943)3(2)13()31()12(lim)13()31()12(lim1082108210108822xxxxxxxxxxx原式 9.2)211(lim2211)211(1lim)21...41211(limnnnnnn 10.212lim02tanlim3sinlim)2tan3sin(lim0000xxxxxxxxxxxxxx 11.01sinlim20xxx (无穷小的性质) 2 12.0arctan1limarctanlimxxxxxx(无穷小的性质) 13.51231121lim3)3sin(lim)2)(3()3sin(lim6)3sin(lim33323xxxxxxxxxxxxx 14.xxxxxxxxxxxx)11)(sin(lim)11)(11()11)(sin(lim11)sin(lim000 2)011(1)11(lim)sin(lim00xxxxx 15.2323lim23tanlim00xxxxxx 16.mnxxx)(sin)sin(lim0(n 、m 为正整数) mnmnmnxxxxmnxmnx , ,1 ,0lim)(sin)sin(lim00 17.32)2(231lim2sin21)1(lim1cos1)1(lim220231203120xxxxxxxxx (等价替换) 18.31301)3(lim)3(sinlim3sinlim2202030xxxxxxxxxxxx 19.413)1()(33)11(lim)31(lim)11()31(lim)1()3(lim)13(limeeexxxxxxxxxxxxxxxxxxxxxx 20.2121)2()21()2(])211(lim[)211(lim)211(limexxxxxxxxx 21.1lim)1ln(lim00xxxxxx (等价替换)注:也可用洛必达法则 22.535sec53cos3lim5tan3sinlim2xxxxxx 3 23.)2(sincoslim41)2)(4(sincoslim)2(sinlnlim2222xxxxxxxxxxx 812141sin2)2(cossin...

1、当您付费下载文档后,您只拥有了使用权限,并不意味着购买了版权,文档只能用于自身使用,不得用于其他商业用途(如 [转卖]进行直接盈利或[编辑后售卖]进行间接盈利)。
2、本站所有内容均由合作方或网友上传,本站不对文档的完整性、权威性及其观点立场正确性做任何保证或承诺!文档内容仅供研究参考,付费前请自行鉴别。
3、如文档内容存在违规,或者侵犯商业秘密、侵犯著作权等,请点击“违规举报”。

碎片内容

一元函数微分学练习题

您可能关注的文档

小辰9+ 关注
实名认证
内容提供者

出售各种资料和文档

相关文档

确认删除?
VIP
微信客服
  • 扫码咨询
会员Q群
  • 会员专属群点击这里加入QQ群
客服邮箱
回到顶部