电脑桌面
添加小米粒文库到电脑桌面
安装后可以在桌面快捷访问

三角变换公式大全打印版

三角变换公式大全打印版_第1页
1/7
三角变换公式大全打印版_第2页
2/7
三角变换公式大全打印版_第3页
3/7
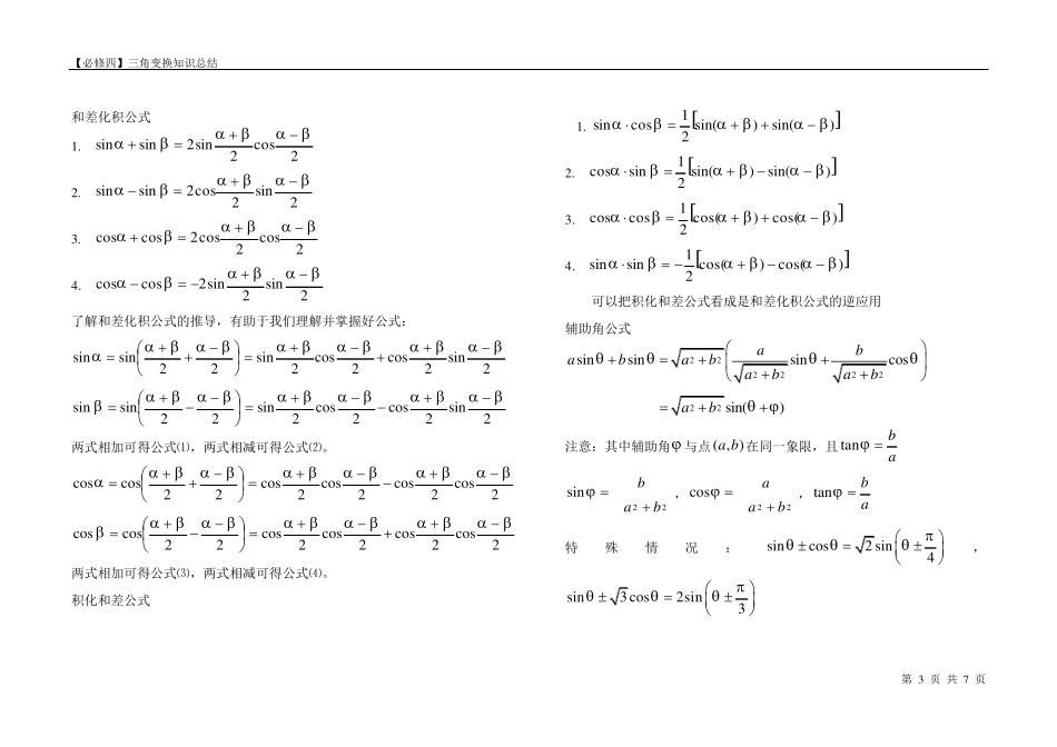
【必修四】三角变换知识总结 第 1 页 共 7 页 三角变换知识点总结 常用三角不等式 1. 若(0,)2x,则sintanxxx 2. 若(0,)2x,则1sincos2xx 3. |sin||cos| 1xx 同角三角函数关系 1. 倒数关系:1cscsin,1seccos,1cottan 2. 商数关系:cossintan,sincoscot 3. 平方关系: 1cossin22,22sectan1,22csccot1 简单三角方程的解 1. sinsin( 1)()kkkZ  2. coscos2()kkZ 3. tantan()kkZ 两角和与差的公式 1. sin()sincoscossin 2. cos()coscossinsin 3. tantantan()1tantan 二倍角公式 1. cossin22sin 2. 2222sin211cos2sincos2cos ------)( 3. 2tan1tan22tan 二倍角的余弦公式)( 有以下常用变形:(规律:降序扩角,升幂缩角) 2cos22cos1 2sin22cos1 2)cos(sin2sin1 2)cos(sin2sin1 21cos2cos222sin1sin 2,2cos12sin2sin2cos1tan 三角函数降幂公式 1. 1sincossin 22 【必修四】三角变换知识总结 第 2 页 共 7 页 2. 21cos2sin2 3. 21 cos 2cos2 三倍角公式 1. 3sin 33sin4sin4sinsin()sin()33 2. 3cos34cos3cos4coscos()cos()33 3. 323tantantan 3tantan() tan()1 3tan33 半角公式 1. 1 cossin 22  2. 1coscos 22  3. 21cossin22 4. 21coscos 22 5. 21 cos2sin 2 6. 21cos2cos 2 7. 1 cossin1 costan 21cos1cossin  注:符号的选择由 2所在的象限确定 万能公式 1. 2tan1tan22sin 2. 22tan1tan12cos 3. 2tan1tan22tan 万能公式形式 2: 【必修四】三角变换知识总结 第 3 页 共 7 页 和差化积公式 1. 2cos2sin2sinsin 2. 2sin2cos2sinsin 3. 2cos2cos2coscos...

1、当您付费下载文档后,您只拥有了使用权限,并不意味着购买了版权,文档只能用于自身使用,不得用于其他商业用途(如 [转卖]进行直接盈利或[编辑后售卖]进行间接盈利)。
2、本站所有内容均由合作方或网友上传,本站不对文档的完整性、权威性及其观点立场正确性做任何保证或承诺!文档内容仅供研究参考,付费前请自行鉴别。
3、如文档内容存在违规,或者侵犯商业秘密、侵犯著作权等,请点击“违规举报”。

碎片内容

三角变换公式大全打印版

小辰2+ 关注
实名认证
内容提供者

出售各种资料和文档

确认删除?
VIP
微信客服
  • 扫码咨询
会员Q群
  • 会员专属群点击这里加入QQ群
客服邮箱
回到顶部