电脑桌面
添加小米粒文库到电脑桌面
安装后可以在桌面快捷访问

专升本高数复习笔记经典

专升本高数复习笔记经典_第1页
1/129
专升本高数复习笔记经典_第2页
2/129
专升本高数复习笔记经典_第3页
3/129
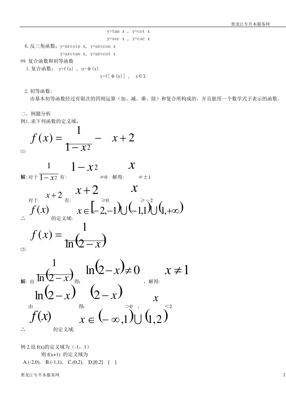
黑龙江专升本服务网 黑龙江专升本服务网 1 第一章 函数、极限和连续 §1.1 函数 一、 主要内容 ㈠ 函数的概念 1. 函数的定义: y=f(x), x∈D 定义域: D(f), 值域: Z(f). 2.分段函数: 21)()(DxxgDxxfy 3.隐函数: F(x,y)= 0 4.反函数: y=f(x) → x=φ(y)=f-1(y) y=f-1 (x) 定理:如果函数: y=f(x), D(f)=X, Z(f)=Y 是严格单调增加(或减少)的; 则它必定存在反函数: y=f-1(x), D(f-1)=Y, Z(f-1)=X 且也是严格单调增加(或减少)的。 ㈡ 函数的几何特性 1.函数的单调性: y=f(x),x∈D,x1、x2∈D 当 x1<x2时,若 f(x1)≤f(x2), 则称 f(x)在 D 内单调增加( ); 若 f(x1)≥f(x2), 则称 f(x)在 D 内单调减少( ); 若 f(x1)<f(x2), 则称 f(x)在 D 内严格单调增加( ); 若 f(x1)>f(x2), 则称 f(x)在 D 内严格单调减少( )。 2.函数的奇偶性:D(f)关于原点对称 偶函数:f(-x)=f(x) 奇函数:f(-x)=-f(x) 3.函数的周期性: 周期函数:f(x+T)=f(x), x∈(-∞,+∞) 周期:T——最小的正数 4.函数的有界性: |f(x)|≤M , x∈(a,b) ㈢ 基本初等函数 1.常数函数: y=c , (c 为常数) 2.幂函数: y=xn , (n 为实数) 3.指数函数: y=ax , (a>0、a≠1) 4.对数函数: y=loga x ,(a>0、a≠1) 5.三角函数: y=sin x , y=con x 黑龙江专升本服务网 黑龙江专升本服务网 2 y=tan x , y=cot x y=sec x , y=csc x 6.反三角函数:y=arcsin x, y=arccon x y=arctan x, y=arccot x ㈣ 复合函数和初等函数 1.复合函数: y=f(u) , u=φ(x) y=f[φ(x)] , x∈X 2.初等函数: 由基本初等函数经过有限次的四则运算(加、减、乘、除)和复合所构成的,并且能用一个数学式子表示的函数。 二、 例题分析 例1. 求下列函数的定义域: ⑴ 211)(2xxxf 解:对于 211x有: 21x≠0 解得: x≠±1 对于 2x有: 2x≥0 x≥-2 ∴ )(xf的定义域:   ,11,11,2x ⑵ xxf2ln1)( 解: 由x2ln1得: 02lnx ,解得: 1x 由x2ln 得:x2 >0 , x<2 ∴ )(xf的定义域:  2,11,x 例2.设 f(x )的定义域为(-1,1) 则f(x +1) 的定义域为 A.(-2,0), B.(-1,1), C.(0,2), D.[0,2] [ ] 黑龙江专升本服务网 黑龙...

1、当您付费下载文档后,您只拥有了使用权限,并不意味着购买了版权,文档只能用于自身使用,不得用于其他商业用途(如 [转卖]进行直接盈利或[编辑后售卖]进行间接盈利)。
2、本站所有内容均由合作方或网友上传,本站不对文档的完整性、权威性及其观点立场正确性做任何保证或承诺!文档内容仅供研究参考,付费前请自行鉴别。
3、如文档内容存在违规,或者侵犯商业秘密、侵犯著作权等,请点击“违规举报”。

碎片内容

专升本高数复习笔记经典

小辰2+ 关注
实名认证
内容提供者

出售各种资料和文档

相关文档

确认删除?
VIP
微信客服
  • 扫码咨询
会员Q群
  • 会员专属群点击这里加入QQ群
客服邮箱
回到顶部