电脑桌面
添加小米粒文库到电脑桌面
安装后可以在桌面快捷访问

专题总结1有机反应的分类

专题总结1有机反应的分类_第1页
1/43
专题总结1有机反应的分类_第2页
2/43
专题总结1有机反应的分类_第3页
3/43
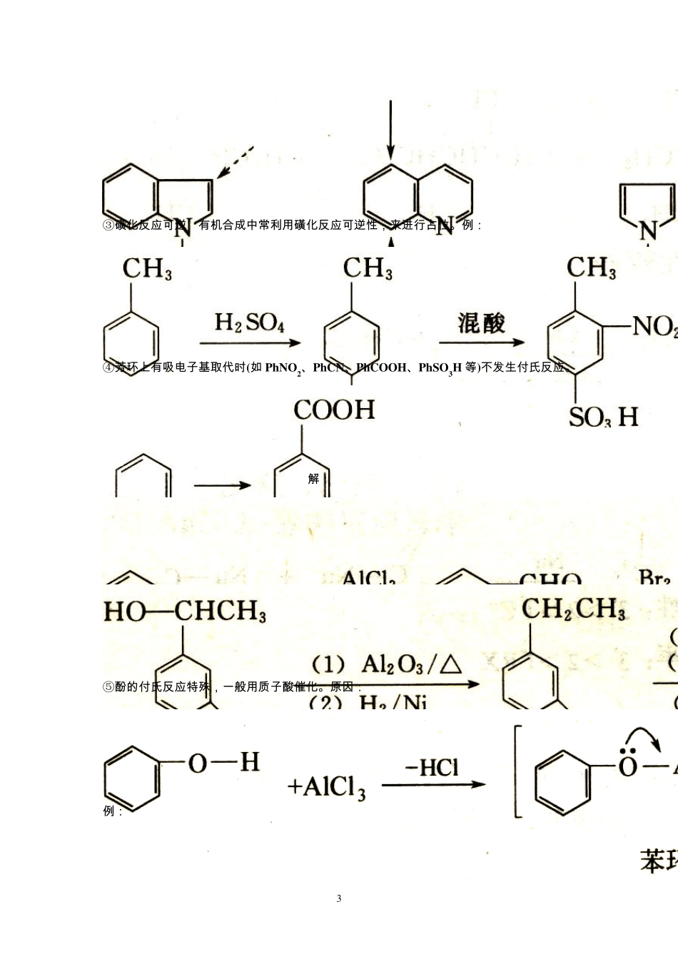
1 专 题 总 结 I——有 机 反 应 的 分 类 一 、 取代 根据反 应 历程可分 为:自由基取代、亲电取代、亲核取代。 1. 自由基取代 【特点】有 自由基参与,在光照、加热或过氧化物存在下进行。 【举例】 ① 烷烃的 卤代-氯代选择性差,溴代选择性好。 ② 烯烃或芳烃的 α-卤代-选择性较好。 2. 亲电取代 芳环上的 “四化”反 应 ——卤化、硝化、磺化、烷基化或酰基化。 【特点】亲电试剂(E+)首先进攻。 2 【 讨 论 】 ① 定 位 规 律 苯 环 上 已 有 一 个 取 代 基 之 后 , 新 引 入 的 取 代 基 的 位 置 取 向 受 原 有 取 代 基 的 性 质 的 影 响 。 原 有 基 团 分 为 以 下 两 类 。 第 一 类 : 致 活 基 , 新 引 入 基 团 在 它 的 邻 、对位 。 属于这类 基 团 的 有 -O-、-NR2、-NHR、 -OH、-OCH、-NHCOCH3、-OCOR、-C6H5、-R(CH3、-C2H5、(CH3)2CH)、-H、-X。 【 特点】 负电荷, 孤对电子, 饱和键。 第 二类 :致 钝基 ,新 引 入 的 基 团 上 间位 。属于这类 基 团 的 有 -N+R3、-NO2、 -CN、-COOH、-SO3H、-CHO、-COR 等。 【 特点】 正电荷, 不饱和键。 上 述两 类 定 位 基 定 位 能力的 强弱是不同的 , 其大致 次序如上 所述。 ②取 代 苯 的 定 位 规 则 当苯 环 上 已 有 两 个 取 代 基 时,第 三个 基 团 进入 苯 环 位 置 主要由原 来的 两 个 取 代 基 的 性 质决定 。 (a)原 有 基 团 是同类 时, 以 强者为 主。 (b)原 有 基 团 不同类 时, 以 第 一 类 为 主(不管Ⅱ类 有 多强, I 类 有 多弱), 因为 反应类 型是亲电取 代 反应。 3 ③磺 化 反 应 可 逆 有 机 合 成 中 常 利 用 磺 化 反 应 可 逆 性 , 来 进 行 占 位 。 例 : ④芳 环 上 有 吸 电 子 基 取 代 时 (如 PhNO2、PhCN、PhCOOH、PhSO3H 等)不发生付氏反 应 。 解: ⑤酚的付氏反 应 特殊, 一般用 质子 酸催化 。 原因: 例 : 4 ⑥偶 联 反 应 的 本 质 也 是 亲 电 取 代 反 应 。 例: 3.亲 核取 代 SNl和 SN2 【讨论】 SN1 和 SN2 是 一对相互竞争的 反 应 ,究竟以何种历程进行取 决...

1、当您付费下载文档后,您只拥有了使用权限,并不意味着购买了版权,文档只能用于自身使用,不得用于其他商业用途(如 [转卖]进行直接盈利或[编辑后售卖]进行间接盈利)。
2、本站所有内容均由合作方或网友上传,本站不对文档的完整性、权威性及其观点立场正确性做任何保证或承诺!文档内容仅供研究参考,付费前请自行鉴别。
3、如文档内容存在违规,或者侵犯商业秘密、侵犯著作权等,请点击“违规举报”。

碎片内容

专题总结1有机反应的分类

您可能关注的文档

小辰5+ 关注
实名认证
内容提供者

出售各种资料和文档

确认删除?
VIP
微信客服
  • 扫码咨询
会员Q群
  • 会员专属群点击这里加入QQ群
客服邮箱
回到顶部