电脑桌面
添加小米粒文库到电脑桌面
安装后可以在桌面快捷访问

两级放大电路的设计

两级放大电路的设计_第1页
1/7
两级放大电路的设计_第2页
2/7
两级放大电路的设计_第3页
3/7
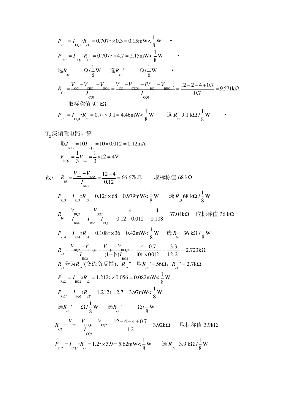
设计指标: AV>250,Ri≥ 10kΩ,RL=5.1kΩ, BW=50Hz~50kHz,D<5% 。 设计条件: 输入信号(正弦信号):2mV≤Vi≤5mV,信号源内阻:Rs=50Ω,电源电压:VCC=12V; 半导体三极管 9013,参数:β=100,r bb’=300Ω,Cμ=5pF,fT=150MHz,3V≤VCC≤20V, PCM=625mW,ICM=500mA,V(BR)CEO=40V。 1 .电路选型: 小信号放大电路选用如图 1 所示两级阻容耦合放大电路,偏置电路采用射极偏置方式,为了提高输入电阻及减小失真,满足失真度 D<5%的要求,各级射极引入了交流串联负反馈电阻。 2 .指标分配: 要求 AV>250,设计计算取 AV=300,其中 T1 级 AV1=12,AV2=25;Ri≥ 10kΩ 要求较高,一般,T1 级需引入交流串联负反馈。 3 .半导体器件的选定 指标中,对电路噪声没有特别要求,无需选低噪声管;电路为小信号放大,上限频率 fH=50kHz,要求不高,故可选一般的小功率管。现选取 NPN 型管 9013,取 β=100。 4 .各级静态工作点设定 动态范围估算:T1 级:im1imaxV125 2mV, 12,VVA o m 1V 1i m 11 2528 4 m V VA V。 T2 级:im2om1V284mV , 25VVA, o m 2V 2i m 22 58 42 . 1 V VAV。 为避免饱和失真,应选:CEQomCE(sat)CVV ;可见 T1 级VCEQ1 可选小些,T2 级VCEQ2 可选大些。 CQCQCMCEQCMTTIIIII12取值考虑:设定主要根据,由于小信号电压放大电路较小;另从减小噪声及降低直流功率损耗出发,、 工作电流应选小些。 T1 级静态工作点确定: TCQ1TCQ1TCQ1CQ1CQ1BQ1CEQ13kΩ , ',100'30026mV'100 260.963mA3000300 0.7mA 0.07mA , V2V>0.12VVrrrIVIrVrrIIIIbe1be1bbbbbe1 bb取依可推得其中, ,可求得选, T2 级静态工作点确定: 一般应取CQ2CQ1II ,CEQ2CEQ1VV 选 :CQ2CQ2BQ2CEQ21.2mA , 0.012mA , V4V>3VIII 5.偏置电路设计计算(设BEQ0.7VV) T1 级偏置电路计算: Rb1BQ1BQ1CC1010 0.0070.07mA11 124V33IIVV取 故:CCBQ1b1b1124114.286kΩ0.07VVRI 取标称值120 kΩ 22Rb1b1b110.071200.588mW

1、当您付费下载文档后,您只拥有了使用权限,并不意味着购买了版权,文档只能用于自身使用,不得用于其他商业用途(如 [转卖]进行直接盈利或[编辑后售卖]进行间接盈利)。
2、本站所有内容均由合作方或网友上传,本站不对文档的完整性、权威性及其观点立场正确性做任何保证或承诺!文档内容仅供研究参考,付费前请自行鉴别。
3、如文档内容存在违规,或者侵犯商业秘密、侵犯著作权等,请点击“违规举报”。

碎片内容

两级放大电路的设计

您可能关注的文档

确认删除?
微信客服
  • 扫码咨询
会员Q群
  • 会员专属群点击这里加入QQ群