电脑桌面
添加小米粒文库到电脑桌面
安装后可以在桌面快捷访问

传热学答案2

传热学答案2_第1页
1/8
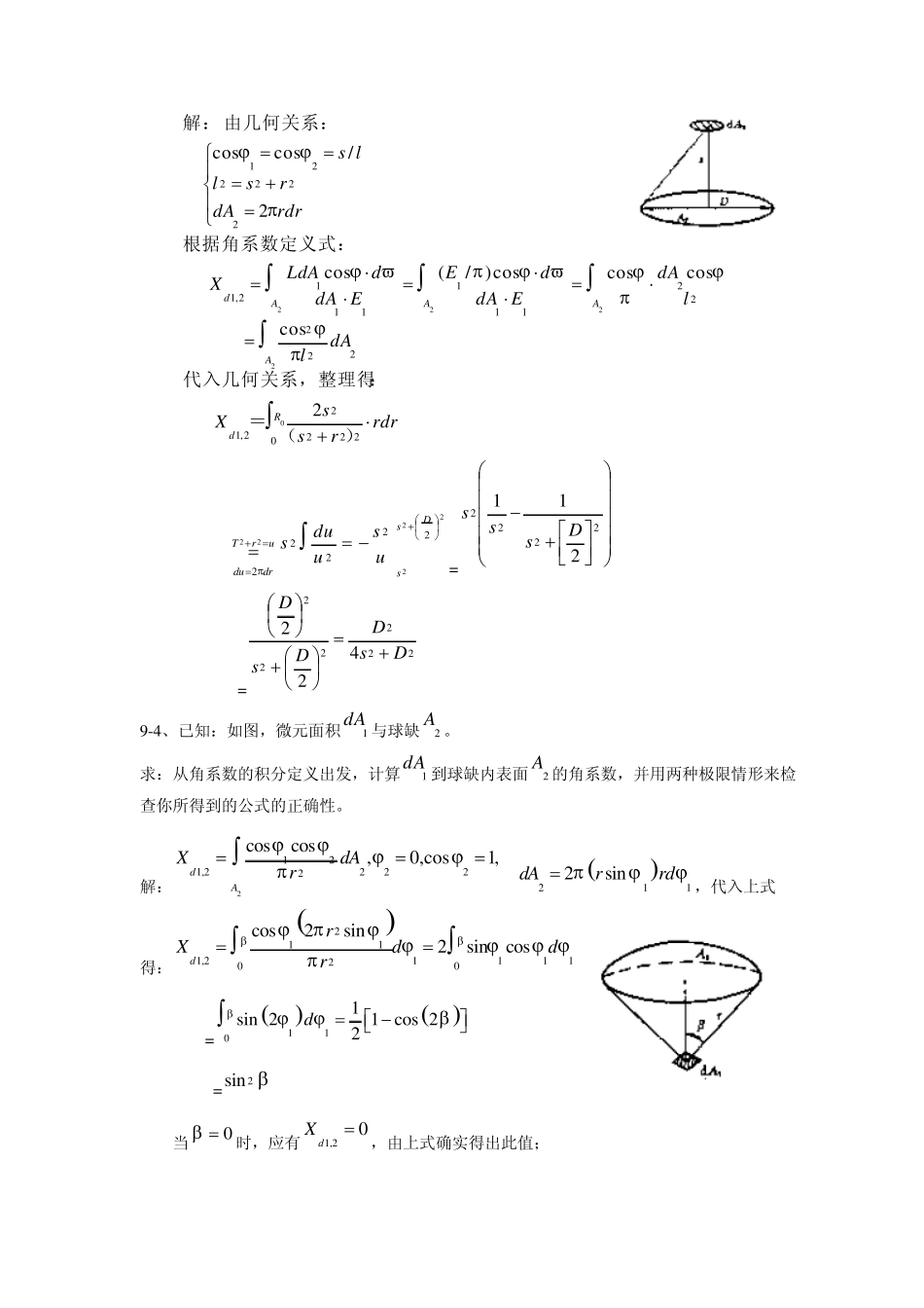
传热学答案2_第2页
2/8
传热学答案2_第3页
3/8
7-7、立式氨冷凝器由外径为50mm 的钢管制成。钢管外表面温度为25℃,冷凝温度为30℃。要求每根管子的氨凝结量为0.009kg/s,试确定每根管子的长度。 解:tm=℃,,, ,r=, 由,得: 。设流动为层流,则有: h= =, 代入 L 的计算式,得:L= 所以 L=,h==3986.6W/(m2.k), Re=,故为层流。 8-15、已知材料 AB 的光谱发射率与波长的关系如附图所示,试估计这两种材料的发射率随温度变化的特性,并说明理由。 解:A 随稳定的降低而降低;B 随温度的降低而升高。 理由:温度升高,热辐射中的短波比例增加。 8-17 一漫射表面在某一温度下的光谱辐射强度与波长的关系可以近似地用附图表示,试: (1) 计算此时的辐射力; (2) 计算此时法线方向的定向辐射强度,及与法线成60 角处的定向辐射强度。 解:(1) (2) 8-21、温度为310K 的4 个表面置于太阳光的照射下,设此时各表面的光谱吸收比随波长的变化如附图所示。试5.27230253/2.600mkgl )./(5105.0℃mWl )./(1011.24smkgulkg/J108.11453rGthA.tdhrGL .41wfl3l2lt-turg13.1)(L414143233.537051011.265105.02.600108.11458.913.1LL4133.5370505.01416.3108.1145009.0Lm293.33.53709.131294341293.33.5370160010861011.2108.11455293.33986.6443< 0WdEdEdEE125020151510105  ddAdLcos strmWL./3980,02 strmWL,/91960;6020分析,在计算与太阳能的交换时,哪些表面可以作为灰体处理?为什么? 解:太阳辐射能的绝大部分集中在2um 以下的区域,温度为310K 的物体辐射能则绝大部分在6um 以上的红外辐射,由图可见,第一种情形与第三种情形,上述波段范围内单色吸收率相同,因而可以作为灰色处理。 8-22、一直径为20mm 的热流计探头,用以测定一微小表面积的辐射热流,该表面温度为=1000K。环境温度很低,因而对探头的影响可以忽略不计。因某些原因,探头只能安置在与表面法线成45°处,距离 l=0.5m。探头测得的热量为W。表面是漫射的 ,而探头表面的吸收比可近似地取为1。试确定的发射率。的面积为。 解:对探头: 8-23、已知一表面的光谱吸收比与波长关系如附图所示,在某一瞬间,测得表面温度为1000K。投入辐射按波长分布...

1、当您付费下载文档后,您只拥有了使用权限,并不意味着购买了版权,文档只能用于自身使用,不得用于其他商业用途(如 [转卖]进行直接盈利或[编辑后售卖]进行间接盈利)。
2、本站所有内容均由合作方或网友上传,本站不对文档的完整性、权威性及其观点立场正确性做任何保证或承诺!文档内容仅供研究参考,付费前请自行鉴别。
3、如文档内容存在违规,或者侵犯商业秘密、侵犯著作权等,请点击“违规举报”。

碎片内容

传热学答案2

确认删除?
VIP
微信客服
  • 扫码咨询
会员Q群
  • 会员专属群点击这里加入QQ群
客服邮箱
回到顶部