电脑桌面
添加小米粒文库到电脑桌面
安装后可以在桌面快捷访问

假设检验习题及答案VIP专享

假设检验习题及答案_第1页
1/10
假设检验习题及答案_第2页
2/10
假设检验习题及答案_第3页
3/10
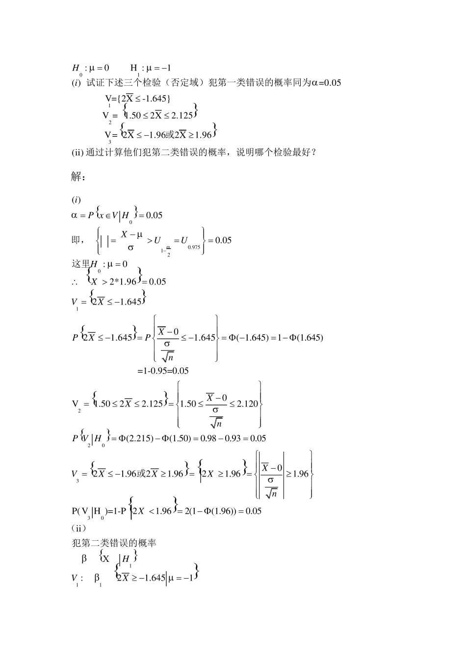
第三章 假设检验 3 .2 一种元件,要求其使用寿命不低于1 0 0 0 (小时),现在从一批这种元件中随机抽取2 5 件,测得其寿命平均值为9 5 0 (小时)。已知这种元件寿命服从标准差100 (小时)的正态分布,试在显著水平0 .0 5 下确定这批元件是否合格。 0100001:1000, H :1000X u =950 100 n=25 1000950-1000 u =2.510025 V= u0.05Hnxu 提出假设:构造统计量:此问题情形属于u检验,故用统计量:此题中:代入上式得:拒绝域:本题中:0.950.950 u1.64u0.0uH即,拒绝原假设认为在置信水平5下这批元件不合格。 3 .4 某批矿砂的五个样品中镍含量经测定为(%): 3 .2 5 3 .2 7 3 .2 4 3 .2 6 3 .2 4 设测定值服从正态分布,问在0.01 下能否接受假设,这批矿砂的镍含量为 01011020:3.25 H :tX t=13.252, S=0.0117, n=5 3.252-3.25 t= 0.34190.01175 1 HSnx提出假设:构造统计量:本题属于未知的情形,可用检验,即取检验统计量为:本题中,代入上式得:否定域为:1- 20.9951 20 V= t>t(1)0.01,(4)4.6041,3.25ntttH本题中,接受认为这批矿砂的镍含量为。 3.5 确定某种溶液中的水分,它的1 0 个测定值0.452%,0.035%,XS 2N( ,), 设总体为正态分布试在水平5 %检验假设: 0101( ) H :0.5% H :0.5%( ) H :0.04% H :0.0.4%iii 00.95( )10.452% S=0.035%-4.1143(1)0.05 n=10 t(9)1.833itSnXn1-构造统计量:本文中未知,可用检验。取检验统计量为X t=本题中,代入上式得: 0.452%-0.5% t=0.035%10-1拒绝域为: V=t>t本题中,014.1143Ht拒绝 22200222212210.952( )nS S0.035% n=10 0.04%100.035%7.65630.04% V=(1)(1)(9)16.919iinn2构造统计量:未知,可选择统计量本题中,代入上式得: () ()否定域为:本题中, 210(1)nH接受 3 .9 设总体116( ,4),,,XNXX为样本,考虑如下检验问题: 01123:0 H :1( ) =0.05 V={ 2X-1.645} V = 1.502X2.125 V= 2X1.962X1.96 (ii) Hi  试证下述三个检验(否定域)犯第一类错误的概率同为或通过计算他们犯第二类...

1、当您付费下载文档后,您只拥有了使用权限,并不意味着购买了版权,文档只能用于自身使用,不得用于其他商业用途(如 [转卖]进行直接盈利或[编辑后售卖]进行间接盈利)。
2、本站所有内容均由合作方或网友上传,本站不对文档的完整性、权威性及其观点立场正确性做任何保证或承诺!文档内容仅供研究参考,付费前请自行鉴别。
3、如文档内容存在违规,或者侵犯商业秘密、侵犯著作权等,请点击“违规举报”。

碎片内容

假设检验习题及答案

确认删除?
VIP
微信客服
  • 扫码咨询
会员Q群
  • 会员专属群点击这里加入QQ群
客服邮箱
回到顶部