电脑桌面
添加小米粒文库到电脑桌面
安装后可以在桌面快捷访问

偏微分方程答案整理第三、四、五章

偏微分方程答案整理第三、四、五章_第1页
1/34
偏微分方程答案整理第三、四、五章_第2页
2/34
偏微分方程答案整理第三、四、五章_第3页
3/34
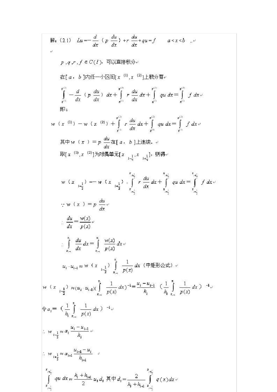
第三章 椭圆形方程的有限差分法 3 .2 两点边值问题的差分格式 3 .2 .1 9 2 页 3 .2 .3 3 .3 二阶椭圆型方程的差分格式 3 .3 .1 1 0 0 页 补充题 3 .4 极值定理 敛速估计 3 .4 .1 1 0 5 页 3 .4 .2 3 .6 三角网格(有限体积法) 补充题 第五章 抛物方程的差分法和有限元法 5 .1 最简差分格式 5 .1 .2 1 3 0 页 5 .1 .3 5 .1 .4 5 .2 稳定行与收敛性 5 .2 .1 1 3 6页 5 .2 .2 5.3 Fou rier 方法 5.4.1 147 页 5 .4 .2 5 .4 .3 5 .4 .4 5 .7 分数步长法 5 .7 .1 第六章 双曲型方程的有限差分法 6 .1 波动方程的差分逼近 6 .1 .1 补充题 6 .3 初值问题的差分逼近 6 .3 .1 6 .3 .2 6 .3 .3

1、当您付费下载文档后,您只拥有了使用权限,并不意味着购买了版权,文档只能用于自身使用,不得用于其他商业用途(如 [转卖]进行直接盈利或[编辑后售卖]进行间接盈利)。
2、本站所有内容均由合作方或网友上传,本站不对文档的完整性、权威性及其观点立场正确性做任何保证或承诺!文档内容仅供研究参考,付费前请自行鉴别。
3、如文档内容存在违规,或者侵犯商业秘密、侵犯著作权等,请点击“违规举报”。

碎片内容

偏微分方程答案整理第三、四、五章

小辰7+ 关注
实名认证
内容提供者

出售各种资料和文档

确认删除?
VIP
微信客服
  • 扫码咨询
会员Q群
  • 会员专属群点击这里加入QQ群
客服邮箱
回到顶部