电脑桌面
添加小米粒文库到电脑桌面
安装后可以在桌面快捷访问

Langevin方程与数值模拟

Langevin方程与数值模拟_第1页
1/11
Langevin方程与数值模拟_第2页
2/11
Langevin方程与数值模拟_第3页
3/11
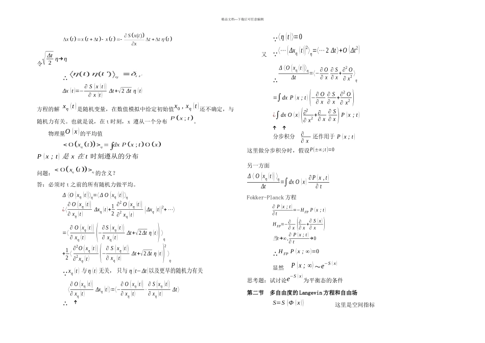
精品文档---下载后可任意编辑问题:系统的作用量或 Hamiltonian 量为 S平衡态分布为e−S,(这里温度已吸收到 S)。假设系统t=0 时处于一初始状态系统如何演化至平衡态?假如初始状态不是平衡态,这便是一个驰豫动力学过程。假如初始状态是平衡态,这是平衡态的动力学涨落问题。第一节 单自由度的 Langevin 方程和 Fokker-Planck 方程S=S (x ) x: 实数Langevin 方程dx (t)dt=−∂ S (x )∂ x+η (t)对固定P (η)e−σ η2⟨η (t )⟩η=1Z ∫−∞+∞dη⋅η⋅e−σ η2=0Z=∫dη e−σ η2这里的 t 通常也是介观时间。 假如没有随机力,平衡态为,即能量取微小值。假如存在随机力,体系会被推离能量微小,处于某种能量较高的平衡态。例如:布朗运动 —— 花粉在液体中的运动m d vdt =−γ v (t)+η (t ) γ≥0一维解如如,这便是随机行走。在布朗运动的方程中加入自身的相互作用可以理解为广义的 Langevin 方程。设想这一方程是真正的微观运动方程,对时间做某种介观的平均,常常加速度的项可以忽略。 由于随机力的存在,Langevin 方程有他的复杂性,因为我们必须考虑对随机力平均带来的奇异性。为了简单起见,我们对时间分立化在数值模拟中应用较直观⟨η (t ) η (t')⟩η= 2Δt δt t',δ t t '={1 t=t '0 t≠t 'Z 1√σ ⟨ η2 ⟩=−∂ln Z∂σ = 12 σ∴σ= Δt4Langevin 方程     2222200tt tttmmttvtveedt dtm∫精品文档---下载后可任意编辑令√Δt2 η→η∴Δx (t )=−∂ S (x (t ))∂ x (t )Δt+√2 Δt η (t)方程的解 xη (t )是随机变量,在数值模拟中给定初始值x0 , xη (t )还不确定,与随机力有关。也就是说,在 t 时刻,x 遵从一个分布。物理量Ο (x )的平均值P ( x ; t) 是 x 在 t 时刻遵从的分布问题:的含义?答:必须对 t 之前的所有随机力做平均。Δ ⟨Ο (xη (t))⟩η=⟨ Δ Ο (xη (t))⟩η¿⟨∂ Ο (xη (t))∂ xη (t )Δxη (t )+12∂2 Ο (xη (t ))∂2 xη (t )( Δxη (t))2+ ⋯⟩=⟨∂ Ο (xη (t ))∂ xη (t )(−∂S ( xη (t ))∂ xη (t )Δt+√2 Δt η (t )) ⟩η+12 ⟨∂2Ο ( xη (t ))∂2 xη (t )(−∂ S ( xη (t ))∂ xη (t)Δt+√2 ...

1、当您付费下载文档后,您只拥有了使用权限,并不意味着购买了版权,文档只能用于自身使用,不得用于其他商业用途(如 [转卖]进行直接盈利或[编辑后售卖]进行间接盈利)。
2、本站所有内容均由合作方或网友上传,本站不对文档的完整性、权威性及其观点立场正确性做任何保证或承诺!文档内容仅供研究参考,付费前请自行鉴别。
3、如文档内容存在违规,或者侵犯商业秘密、侵犯著作权等,请点击“违规举报”。

碎片内容

Langevin方程与数值模拟

领读文化+ 关注
实名认证
内容提供者

传播文化,铸就未来

确认删除?
VIP
微信客服
  • 扫码咨询
会员Q群
  • 会员专属群点击这里加入QQ群
客服邮箱
回到顶部