电脑桌面
添加小米粒文库到电脑桌面
安装后可以在桌面快捷访问

定积分的性质

定积分的性质_第1页
1/7
定积分的性质_第2页
2/7
定积分的性质_第3页
3/7
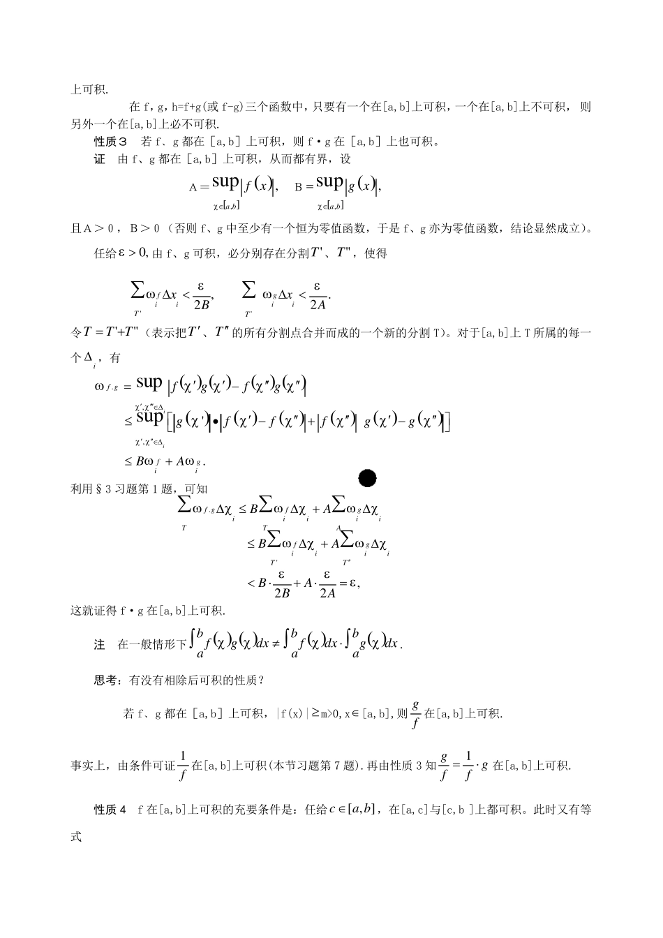
§4 定积分的性质 教学目的与要求: 1 . 理解并掌握定积分的性质极其证明方法. 2 . 逐步学会应用定积分的性质证明定积分的有关问题. 教学重点,难点: 1 . 定积分的性质极其证明方法. 2 . 应用定积分的性质证明定积分的有关问题. 教学内容: 一 定积分的基本性质 性质 1 若f 在[a,b]上可积,k 为常数,则kf 在[a,b]上也可积,且   bbkfx dxkf x dxaa. (1) 证 当k=0 时结纶显然成立. 当k0时,由于   11.,nniiiiiikfxkJkfxJ 其中J= , dfab因此当f 在[a,b]上可积时,由定义,任给0 ,0 ,,T存在当时  1,niiifxJk 从而  1.niiikfxkJ 即kf 在[a,b]上可积,且   .bbkfx dxkJkfx dxaa 性质2 若f﹑g 都在[a,b]可积,则fg在[a,b]上也可积,且     .bbbfxg xdxfx dxg x dxaaa (2) 证明与性质1类同。 注 1 性质1与性质2是定积分的线性性质,合起来即为     ,bbbafxg xdxafx dxg x dxaaa 其中a﹑ 为常数。 注 2 在f,g,h=f+g(或 f-g)三个函数中,只要有任意两个在[a,b]上可积,则另外一个在[a,b]上可积. 在f,g,h=f+g(或f-g)三个函数中,只要有一个在[a,b]上可积,一个在[a,b]上不可积, 则另外一个在[a,b]上必不可积. 性质3 若f﹑g 都在[a,b]上可积,则f·g 在[a,b]上也可积。 证 由f、g 都在[a,b]上可积,从而都有界,设 A= ,,supa bf x B ,,supa bg x 且A>0,B>0(否则f、g 中至少有一个恒为零值函数,于是f、g 亦为零值函数,结论显然成立)。 任给0, 由f、g 可积,必分别存在分割'T 、"T ,使得 ',2fiiTxB  ".2giiTxA  令"' TTT(表示把T、T  的所有分割点合并而成的一个新的分割T)。对于[a,b]上T 所属的每一个i ,有       gfgfigfsup,.    ,'supigfffgg • .gifiAB 利用§3 习题第 1 题,可知 .f gfgiiiiiTTABA...

1、当您付费下载文档后,您只拥有了使用权限,并不意味着购买了版权,文档只能用于自身使用,不得用于其他商业用途(如 [转卖]进行直接盈利或[编辑后售卖]进行间接盈利)。
2、本站所有内容均由合作方或网友上传,本站不对文档的完整性、权威性及其观点立场正确性做任何保证或承诺!文档内容仅供研究参考,付费前请自行鉴别。
3、如文档内容存在违规,或者侵犯商业秘密、侵犯著作权等,请点击“违规举报”。

碎片内容

定积分的性质

您可能关注的文档

小辰7+ 关注
实名认证
内容提供者

出售各种资料和文档

相关标签

确认删除?
VIP
微信客服
  • 扫码咨询
会员Q群
  • 会员专属群点击这里加入QQ群
客服邮箱
回到顶部