电脑桌面
添加小米粒文库到电脑桌面
安装后可以在桌面快捷访问

定积分的证明题

定积分的证明题_第1页
1/22
定积分的证明题_第2页
2/22
定积分的证明题_第3页
3/22
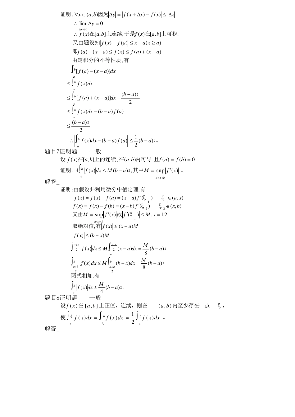
题目1证明题 容易 。证明 )()()()(afxfdttftxdxdxa 解答_ 。)()()()()()()()()()()()()()()()( afxfxfafdttftxdxddttfafxadttfaxtftxtdftxdttftxxaxaxaxaxa 题目2证明题 容易 。利用积分中值定理证明 0sinlim:400dxxnn 解答_ 。使上存在点在由积分中值定理 0sinlim0sinlim1sin0sinlim4 ]4[0, ( )04( sinlimsinlim,]4,0[, 4000040x dxdxxnnnnnnnnnnQ 题目3证明题 一般 。使内至少存在一点证明:在,内可导,且在设函数0) (f ],[0)(0)(],[)( badxxfafbaxfba 解答_ 。使,在一点应用罗尔定理,可知存上,在区间,使存在一点由积分中值定理,在0) (b)(a,) (a ,] [0) (0))( ()( ),(11111fafabfdxxfbaba 题目4证明题 一般 。为正整数时证明:当,设anadxxfndxxfnaxfxf 0 0 )()( )()( 解答_ 。证明:anaaaanaanaaaaaaaaaaanaanaaanadxxfndxxfdxxfdyyfdyanyfanyxdxxfdxxfdyyfdyayfdyayfayxdxxfdxxfdyyfdyayfayxdxxfaxfxfdxxfdxxfdxxfdxxf 0 0 0 0 0 )1 ( 0 0 0 0 3 2 0 0 0 2 )1( 2 0 0 )()( )( )( ))1(( )1( )( )()( )()2( 2 )( )()()( )( )()( )()()()(  题目5证明题 一般 。证明: )1()1(1 0 1 0 dxxxdxxxmnnm 解答_ 。时时且则令证1 0 1 0 0 1 1 0 )1( )1( )()1( )1( 0, 1 1, 0 1:dxxxdtttdtttdxxxtxtxdtdxtxmnmnnmnm 题目6证明题 一般 。且上可积在则有上任意两点且对上有定义在设2)(21)()()(,],[)( .)()(,,],[,],[)(abafabdxxfbaxfyxyfxfyxbabaxfba 解答_ 。有由定积分的不等性质即又由题设知上可积在于是上连续在因为证明2220)(21)()()( 2)( )()()( 2)( )]()([ )( )]()([ , )()()()()( )()()( .],[)(,],[)( 0lim )()(),(:abafabdxxfabafabdxxfabdxaxafdxxfdxaxafaxafxfaxafaxaxafxfbaxfbaxfyxxfxxfybaxbababababax 题目7证明题 一...

1、当您付费下载文档后,您只拥有了使用权限,并不意味着购买了版权,文档只能用于自身使用,不得用于其他商业用途(如 [转卖]进行直接盈利或[编辑后售卖]进行间接盈利)。
2、本站所有内容均由合作方或网友上传,本站不对文档的完整性、权威性及其观点立场正确性做任何保证或承诺!文档内容仅供研究参考,付费前请自行鉴别。
3、如文档内容存在违规,或者侵犯商业秘密、侵犯著作权等,请点击“违规举报”。

碎片内容

定积分的证明题

小辰5+ 关注
实名认证
内容提供者

出售各种资料和文档

相关标签

确认删除?
VIP
微信客服
  • 扫码咨询
会员Q群
  • 会员专属群点击这里加入QQ群
客服邮箱
回到顶部