电脑桌面
添加小米粒文库到电脑桌面
安装后可以在桌面快捷访问

定积分高考题

定积分高考题_第1页
1/7
定积分高考题_第2页
2/7
定积分高考题_第3页
3/7
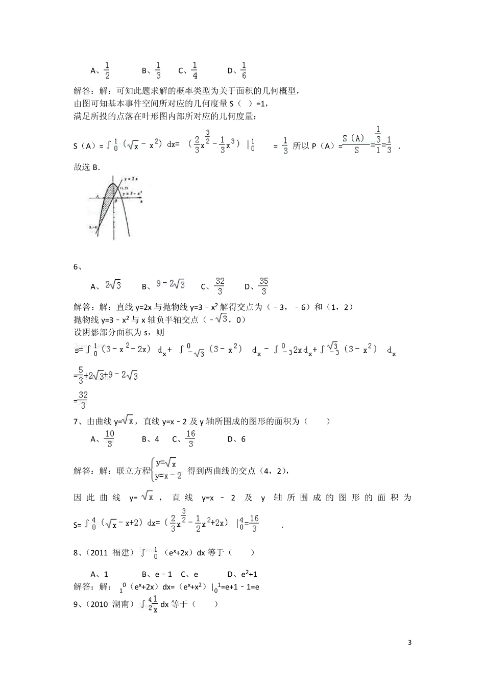
1 一、选择题(共16 小题) 1、(2011•湖南)由直线与曲线y=cosx 所围成的封闭图形的面积为( ) A、 B、1 C、 D、 解答:解:由定积分可求得阴影部分的面积为 S=cosxdx==﹣(﹣)=, 所以围成的封闭图形的面积是. 故选D. 2、(2010•山东)由曲线y=x2,y=x3 围成的封闭图形面积为( ) A、 B、 C、 D、 解答:解:由题意得,两曲线的交点坐标是(1,1),(0,0)故积分区间是[0,1] 所求封闭图形的面积为∫01(x2﹣x3)dx═,故选A. 3、(2009•广东)已知甲、乙两车由同一起点同时出发,并沿同一路线(假定为直线)行驶.甲车、乙车的速度曲线分别为V甲和 V已(如图所示).那么对于图中给定的t0 和 t1,下列判断中一定正确的是( ) A、在 t1 时刻,甲车在乙车前面 B、t1 时刻后,甲车在乙车后面 C、在 t0 时刻,两车的位置相同 D、t0 时刻后,乙车在甲车前面 分析:利用定积分求面积的方法可知 t0 时刻前甲走的路程大于乙走的路程,则在 t0 时刻甲在乙的前面;又因为在 t1 时刻前利用定积分求面积的方法得到甲走的路程大于乙走的路程,甲在乙的前面;同时在 t0 时刻甲乙两车的速度一样,但是路程不一样.最后得到 A 正确,B、C、D 错误. 解答:解:当时间为t0 时,利用定积分得到甲走过的路程=v甲dt=a+c,乙走过的路程 2 =v乙dt=c;当时间为t1 时,利用定积分得到甲走过的路程=v甲dt=a+c+d,而乙过的路程=v乙dt=c+d+b;从图象上可知a>b,所以在t1 时刻,a+c+d>c+d+b 即甲的路程大于乙的路程,A 正确;t1 时刻后,甲车走过的路程逐渐小于乙走过的路程,甲车不一定在乙车后面,所以B 错;在t0 时刻,甲乙走过的路程不一样,两车的位置不相同,C 错;t0时刻后,t1 时刻时,甲走过的路程大于乙走过的路程,所以D 错. 故答案为A 4、由曲线 xy=1,直线 y=x,y=3 所围成的平面图形的面积为( ) A、 B、2﹣ln3 C、4+ln3 D、4﹣ln3 解答:解:根据利用定积分的几何意义,得: 由曲线 xy=1,直线 y=x,y=3 所围成的平面图形的面积: S=(3﹣ )dx+=(3x﹣lnx)+2 =3﹣ln3﹣1+2 =4﹣ln3. 故选 D. 5、 3 A、 B、 C、 D、 解答:解:可知此题求解的概率类型为关于面积的几何概型, 由图可知基本事件空间所对应的几何度量 S(Ω)=1, 满足所投的点落在叶形图内部所对应的几何度量: S(A)== 所以 P(A)=. 故选 B. 6、 A、 B、 C、...

1、当您付费下载文档后,您只拥有了使用权限,并不意味着购买了版权,文档只能用于自身使用,不得用于其他商业用途(如 [转卖]进行直接盈利或[编辑后售卖]进行间接盈利)。
2、本站所有内容均由合作方或网友上传,本站不对文档的完整性、权威性及其观点立场正确性做任何保证或承诺!文档内容仅供研究参考,付费前请自行鉴别。
3、如文档内容存在违规,或者侵犯商业秘密、侵犯著作权等,请点击“违规举报”。

碎片内容

定积分高考题

确认删除?
VIP
微信客服
  • 扫码咨询
会员Q群
  • 会员专属群点击这里加入QQ群
客服邮箱
回到顶部