电脑桌面
添加小米粒文库到电脑桌面
安装后可以在桌面快捷访问

实验14霍尔元件灵敏度的报告

实验14霍尔元件灵敏度的报告_第1页
1/8
实验14霍尔元件灵敏度的报告_第2页
2/8
实验14霍尔元件灵敏度的报告_第3页
3/8
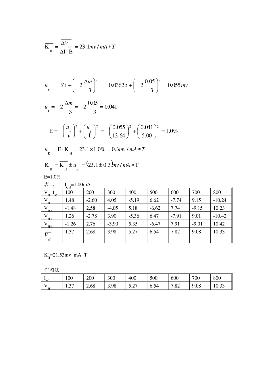
实验 19 霍尔元件灵敏度测定及应用 一 目的 1、 进一步了解霍尔效应; 2、 掌握霍尔元件灵敏度及其特性的测量方法。 3、 测定电磁铁磁场特性 二 仪器 VAAH 电压测量双路恒流电源,SH500 霍尔效应实验装置,MR-1 磁阻效应实验装置。 三 原理 1、 霍尔效应及其霍尔灵敏度 将金属片置于磁场中,让磁场垂直通过薄片平面。沿薄片的纵向通以电流,则在薄片的两侧面会出现微弱的电压。这就是霍尔效应,横向产生的电压叫霍尔电压,符号VH。 dIBRVHH  (1) 霍尔系数RH=(en)-1=C;n 为薄片中载流子的浓度,e 为电子带电量,d 为薄片的厚度。 VH=KHIB (2) KH——霍尔灵敏度,它表示该元件产生霍尔效应的强弱,即在单位磁感应强度B 和单位控制电流I 时,产生霍尔电压的大小。 2、 电磁铁气隙的磁场 本实验利用电磁铁装置产生一个已知的磁场 rMLLNIB210 (3) 0——真空磁导率;N——励磁线圈的匝数;IM——线圈中的励磁电流; L1——气隙距离; L2——铁芯磁路平均长度;r——铁芯相对磁导率; 本实验r =1500 3、 电磁铁气隙中心的磁场系数 MCHHHMIIKVIBR (4) R——中心磁场的磁场系数 四 实验步骤 (一) 磁感应强度一定,变化控制电流时霍尔元件灵敏度测定 接好线路,并打开恒流源后面的开关,在一定的ICH,IM 值下,调节霍尔元件在气隙里的位置和角度,使霍尔电压VH 显示的数值最大为止。 1、 IM=200mA,依次改变:ICH=1.00,2.00,3.00,4.00,5.00,6.00,7.00,8.00,9.00,10.00mA,测量出相应的霍尔电压VH 的值。 2、 利用开关k1,k2 依次改变IM 与ICH 电流的方向,记录相应的数值。 3、 用逐差法处理数据。 (二) 控制电流一定,电磁铁气隙中心磁场系数的测定 1、 连接线路,调节霍尔元件在气隙里处于垂直与中心位置。 2、 ICH=1.00mA,依次改变IM=100,200,300,400,500,600,700,800mA 测量出对应的霍尔电压VH 值,并利用开关k1,k2 依次改变IM 与ICH 电流的方向,记录相应的数值。 3、 用作图法处理数据。 五 注意事项 1、 尔元件的控制电流ICH 最大不能超过30m A,否则将损坏元件。 2、 尔片很脆,不可受撞击,故实验操作时应小心谨慎,调节时动作应缓慢。 六 数据记录及处理 表一 IM=200mA VH\ICH 1.00 2.00 3.00 4.00 5.00 6.00 7.00 8.00 9.00 10.00 VH1 2.87 -5.30 8.44 -10.55 14.05 -15.87 19.70 -21...

1、当您付费下载文档后,您只拥有了使用权限,并不意味着购买了版权,文档只能用于自身使用,不得用于其他商业用途(如 [转卖]进行直接盈利或[编辑后售卖]进行间接盈利)。
2、本站所有内容均由合作方或网友上传,本站不对文档的完整性、权威性及其观点立场正确性做任何保证或承诺!文档内容仅供研究参考,付费前请自行鉴别。
3、如文档内容存在违规,或者侵犯商业秘密、侵犯著作权等,请点击“违规举报”。

碎片内容

实验14霍尔元件灵敏度的报告

小辰9+ 关注
实名认证
内容提供者

出售各种资料和文档

确认删除?
VIP
微信客服
  • 扫码咨询
会员Q群
  • 会员专属群点击这里加入QQ群
客服邮箱
回到顶部