电脑桌面
添加小米粒文库到电脑桌面
安装后可以在桌面快捷访问

导数应用练习题答案

导数应用练习题答案_第1页
1/14
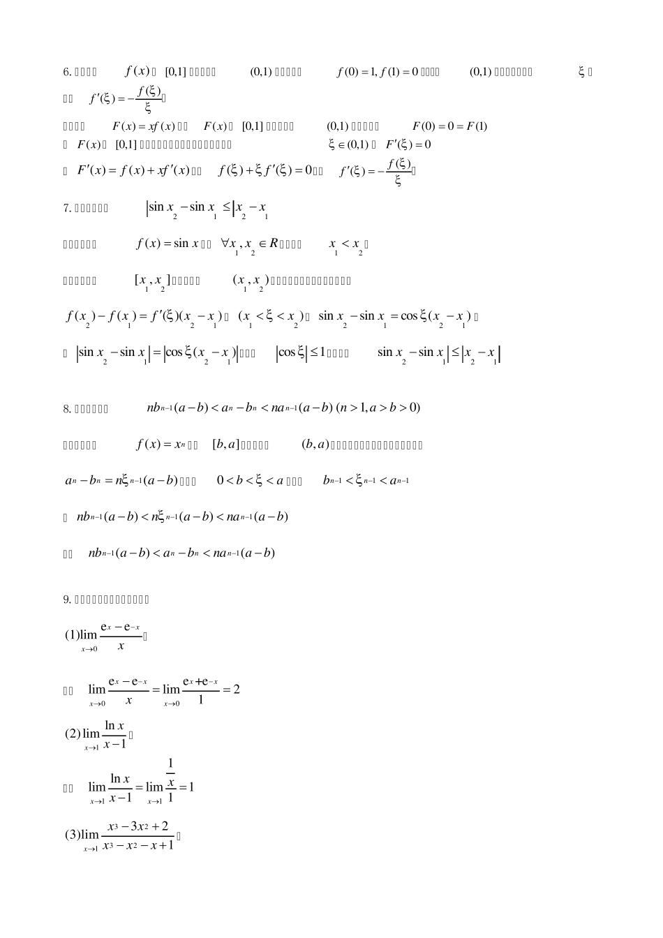
导数应用练习题答案_第2页
2/14
导数应用练习题答案_第3页
3/14
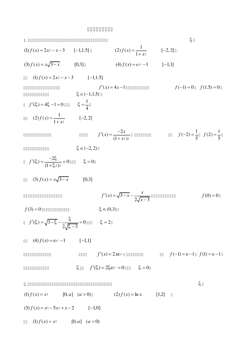
导数应用练习题答案 1.下列函数在给定区间上是否满足罗尔定理的所有条件?如满足,请求出定理中的数值 。 2(1) ( )23[ 1,1.5]f xxx; 21(2) ( )[ 2,2]1f xx; (3) ( )3[0,3]f xxx; 2(4) ( )1[ 1,1]xf xe 解:2(1) ( )23[ 1,1.5]f xxx 该函数在给定闭区间上连续,其导数为( )41fxx ,在开区间上可导,而且( 1)0f ,(1.5)0f,满足罗尔定理,至少有一点( 1,1.5)  , 使( )410f  ,解出14 。 解:21(2) ( )[ 2,2]1f xx 该函数在给定闭区间上连续,其导数为222( )(1)xfxx, 在开区间上可导,而且1( 2)5f ,1(2)5f,满足罗尔定理,至少有一点( 2, 2)  , 使222( )0(1)f,解出0 。 解:(3) ( )3[0,3]f xxx 该函数在给定闭区间上连续,其导数为( )323xfxxx,在开区间上可导,而且(0)0f,(3)0f,满足罗尔定理,至少有一点(0,3) , 使( )3023f,解出2 。 解:2(4) ( )e1[ 1,1]xf x  该函数在给定闭区间上连续,其导数为2( )2 exfxx, 在开区间上可导,而且( 1)e 1f ,(1)e 1f ,满足罗尔定理,至少有一点 ,使2( )2 e0f,解出0 。 2.下列函数在给定区域上是否满足拉格朗日定理的所有条件?如满足,请求出定理中的数值 。 3(1) ( )[0, ](0)f xxaa; (2) ( )ln[1,2]f xx; 32(3) ( )52[ 1,0]f xxxx 解:3(1) ( )[0, ](0)f xxaa 该函数在给定闭区间上连续,其导数为2( )3fxx,在开区间上可导,满足拉格朗日定理条件,至少有一点(0, )a ,使( )(0)( )(0)f affa,即3203(0)aa,解出3a 。 解:(2) ( )ln[1,2]f xx 该函数在给定闭区间上连续,其导数为1( )fxx,即在开区间上可导,满足拉格朗日定理条件,至少有一点(1, 2) ,使(2)(1)( )(21)fff ,即1ln 2ln1(2 1),解出1ln 2 。 解:32(3) ( )52[ 1,0]f xxxx 该函数在给定闭区间上连续,其导数为2( )3101fxxx ,即在开区间上可导,满足拉格朗日定理条件,至少有一点( 1,0)  ,使(0)( 1)( )(01)fff , 即22( 9)(3101)(0...

1、当您付费下载文档后,您只拥有了使用权限,并不意味着购买了版权,文档只能用于自身使用,不得用于其他商业用途(如 [转卖]进行直接盈利或[编辑后售卖]进行间接盈利)。
2、本站所有内容均由合作方或网友上传,本站不对文档的完整性、权威性及其观点立场正确性做任何保证或承诺!文档内容仅供研究参考,付费前请自行鉴别。
3、如文档内容存在违规,或者侵犯商业秘密、侵犯著作权等,请点击“违规举报”。

碎片内容

导数应用练习题答案

确认删除?
VIP
微信客服
  • 扫码咨询
会员Q群
  • 会员专属群点击这里加入QQ群
客服邮箱
回到顶部