电脑桌面
添加小米粒文库到电脑桌面
安装后可以在桌面快捷访问

导数的概念、几何意义及导数公式

导数的概念、几何意义及导数公式_第1页
1/7
导数的概念、几何意义及导数公式_第2页
2/7
导数的概念、几何意义及导数公式_第3页
3/7
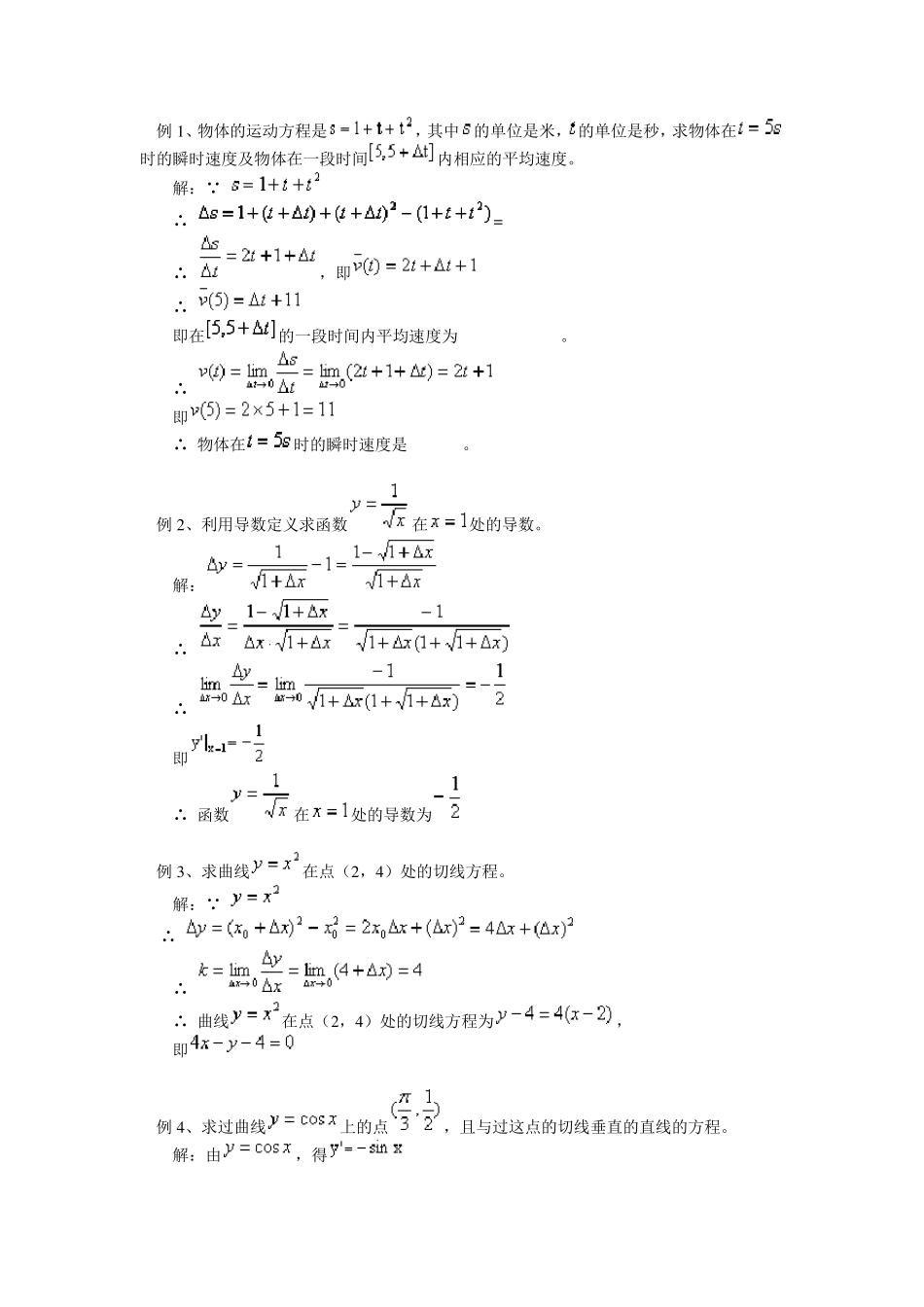
本讲教育信息】 一. 教学内容: 导数的概念、几何意义及导数公式 [学习目标] 了解平均变化率的概念和瞬时变化率的意义;了解导数概念的实际背景,体会导数的思想及其内涵。通过函数图象直观地理解导数的几何意义。理解导数的定义,能根据导数的定义,求函数的导数。了解基本初等函数的导数公式;了解导数的四则运算法则;能利用导数公式表的导数公式和导数的四则运算法则求简单函数的导数。 [考点分析] 1. 的平均变化率:已知函数在点及其附近有定义,令, 则当时,比值叫做函数在到之间的平均变化率。 2. 瞬时变化率:设函数在点附近有定义,当自变量在附近改变时,函数值相应地改变 ,如果当趋近于 0 时,平均变化率趋近于一个常数L,则数L 称为函数在点的瞬时变化率。 记作:当时, 还可以说,当时,函数平均变化率的极限等于函数在的瞬时变化率 L. 记作:=L 3. 导数的定义:函数在的瞬时变化率,通常就定义为在处的导数,记作或,即 。 注(1)变速运动在的瞬时速度就是路程函数在的导数 (2)在定义式中,设,则,当趋近于 0 时,趋近于,因此,导数的定义式可写成。 (3)若极限不存在,则称函数在点处不可导。 4. 函数在开区间内的导函数(导数): 如果函数在开区间内可导,那么对于开区间的每一个确定的值都对应着一个确定的导数 ,这样在开区间内构成一个新的函数,我们把这一新 函数叫做函数在开区间内的导函数(简称导数),记或;即: 函数在处的导数 就是函数在开区间上的导数在处的函数值,即 = 。 注意:导数与导函数都称为导数,这要加以区分:求一个函数的导数,就是求导函数;求一个函数在给定点的导数,就是求导函数值。它们之间的关系是函数在点处的导数就是导函数在点的函数值。 5. 求函数的导数的一般方法: (1)求函数的改变量。 (2)求平均变化率。 (3)取极限,得导数=。 6. 与连续的关系:如果函数y =f(x )在点x 0 处可导,那么函数y =f(x )在点x 0 处连续,反之不成立。数具有连续性是函数具有可导性的必要条件,而不是充分条件。 7. 数的几何意义:函数在点处的导数,就是曲线在点处的切线的斜率。 由此,可以利用导数求曲线的切线方程。体求法分两步: (1)求出函数在点处的导数,即曲线在点处的切线的斜率; (2)由切点坐标 和切线斜率 ,得切线方程为:。 特别地,如果曲线在点处的切线平行于y 轴,这时导数不存在,根据切线定义,可得...

1、当您付费下载文档后,您只拥有了使用权限,并不意味着购买了版权,文档只能用于自身使用,不得用于其他商业用途(如 [转卖]进行直接盈利或[编辑后售卖]进行间接盈利)。
2、本站所有内容均由合作方或网友上传,本站不对文档的完整性、权威性及其观点立场正确性做任何保证或承诺!文档内容仅供研究参考,付费前请自行鉴别。
3、如文档内容存在违规,或者侵犯商业秘密、侵犯著作权等,请点击“违规举报”。

碎片内容

导数的概念、几何意义及导数公式

小辰7+ 关注
实名认证
内容提供者

出售各种资料和文档

相关文档

确认删除?
VIP
微信客服
  • 扫码咨询
会员Q群
  • 会员专属群点击这里加入QQ群
客服邮箱
回到顶部