电脑桌面
添加小米粒文库到电脑桌面
安装后可以在桌面快捷访问

小学生注意力测试试题

小学生注意力测试试题_第1页
1/10
小学生注意力测试试题_第2页
2/10
小学生注意力测试试题_第3页
3/10
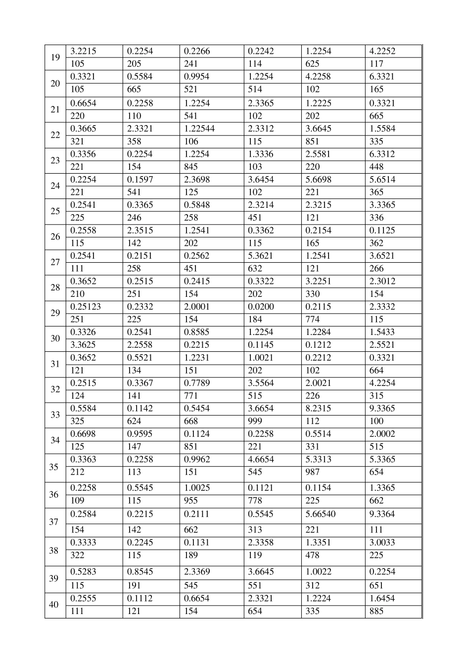
测评孩子的注意力 低年级和中年级的孩子请父母帮他们评分记录,高年级的孩子可以自己评测。2 分是完全作到,1 分是大致可以做到或是偶尔做不到,0 分是完全做不到。 1、可以持续做在椅子上 40 分钟不离席,听完语文或数学课?( ) 2、一张简单的练习题,回家能迅速完成?( ) 3、能持续阅读故事书或漫画,电视播放卡通长片也能一口气看完?( ) 4、参加捉迷藏或拔河等游戏时,能一心一意玩到最后?( ) 5、放学的时候不在外面逗留,能在短时间内直接 回到家里。( ) 6、老师指定的劳动或美术作业,不但能够完成,还能具体表达自己的思考和想法。( ) 7、和朋友玩扑克或跳棋时,能遵守游戏规则玩到最后。( ) 8、在学校打扫教室或操场,或在家里帮忙家务,能不分心玩耍,努力做完为止?( ) 9、情绪安定不紧张。( ) 10、身体没有不舒服。( ) 请合计以上各项的分数 年级 分数 低年级 中年级 高年级 注意力情况 A 10—20 分 12—20 分 14—20 分 具有注意力 B 6—9 分 9—11 分 11—13 分 可以再增加一些注意里 C 0—5 分 0—8 分 0—10 分 应改善现有的生活,培养注意力 针对孩子注意力的测试题(高年级) 一、找数字,符合下列要求:(符合条件可以变换,在家也可多次练习) 上排:从 0 .1 6 0 0 到 0 .3 3 5 0 之间的数值 下排:大于 2 4 0 的数值 请用 1 5 分钟完成 4 0 道题目 序 号 找 数 字 A B C D E F 1 0 .1 1 2 4 1 .2 2 6 0 0 .8 9 2 0 0 .2 5 7 2 1 .1 5 0 2 0 .7 2 2 1 2 4 3 1 3 4 3 2 6 6 7 3 2 1 5 4 5 1 2 1 .1 5 7 6 0 .2 4 5 6 0 .3 0 5 1 0 .1 0 5 0 0 .8 0 6 0 0 .4 5 6 2 3 4 5 2 6 7 9 0 4 7 6 0 3 3 0 2 5 6 3 0 .1 1 2 1 0 .2 2 5 1 1 .3 3 2 2 2 .3 3 2 6 1 .2 2 5 2 0 .2 2 5 3 3 3 5 2 5 1 1 1 5 9 9 8 2 2 5 1 2 3 4 1 .2 2 3 5 2 .3 3 6 5 0 .2 2 5 8 0 .3 3 6 5 3 .2 2 5 2 1 .2 2 5 5 2 2 5 1 1 4 1 2 5 2 5 8 3 6 5 9 8 7 5 1 .2 2 5 5 0 .3 3 6 5 2 .5 5 8 4 0 .3 3 2 5 0 .4 4 8 4 0 .9 9 8 7 1 0 2 3 0 5 6 5 4 1 2 5 5 8 4 6 6 2 ...

1、当您付费下载文档后,您只拥有了使用权限,并不意味着购买了版权,文档只能用于自身使用,不得用于其他商业用途(如 [转卖]进行直接盈利或[编辑后售卖]进行间接盈利)。
2、本站所有内容均由合作方或网友上传,本站不对文档的完整性、权威性及其观点立场正确性做任何保证或承诺!文档内容仅供研究参考,付费前请自行鉴别。
3、如文档内容存在违规,或者侵犯商业秘密、侵犯著作权等,请点击“违规举报”。

碎片内容

小学生注意力测试试题

您可能关注的文档

确认删除?
VIP
微信客服
  • 扫码咨询
会员Q群
  • 会员专属群点击这里加入QQ群
客服邮箱
回到顶部