电脑桌面
添加小米粒文库到电脑桌面
安装后可以在桌面快捷访问

抛物型方程有限差分法VIP专享

抛物型方程有限差分法_第1页
1/11
抛物型方程有限差分法_第2页
2/11
抛物型方程有限差分法_第3页
3/11
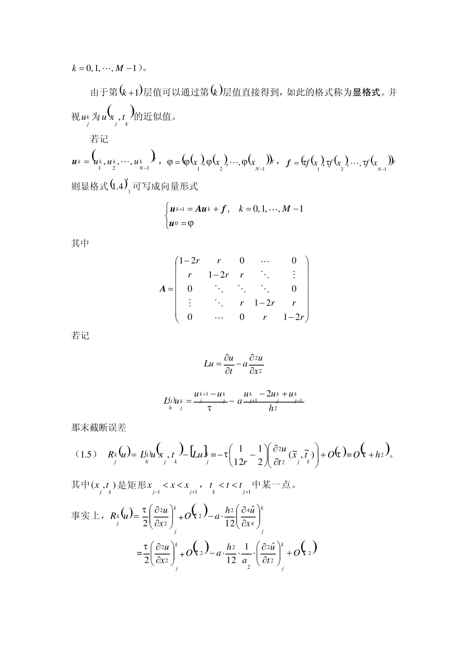
抛物型方程有限差分法 1. 简单差分法 考虑一维模型热传导方程 (1.1) )(22xfxuatu,Tt 0 其中a 为常数。)(xf是给定的连续函数。(1.1)的定解问题分两类: 第一,初值问题(Cauchy 问题):求足够光滑的函数txu,,满足方程(1.1)和初始条件: (1.2)  xxu0,, x 第二,初边值问题(也称混合问题):求足够光滑的函数txu,,满足方程(1.1)和初始条件:  13.1  xxu0,, lxl 及边值条件  23.1   0,,0tlutu, Tt 0 假定  xf和  x在相应的区域光滑,并且于0,0,0,l两点满足相容条件,则上述问题有唯一的充分光滑的解。 现在考虑边值问题(1.1),(1.3)的差分逼近 取 Nlh 为空间步长,MT为时间步长,其中N ,M 是自然数, jhxxj , Nj,,1,0; kyyk , Mk,,1,0 将矩形域 GTtlx0;0分割成矩形网格。其中 ji yx ,表示网格节点; hG表示网格内点(位于开矩形 G 中的网格节点)的集合; hG表示位于闭矩形 G 中的网格节点的集合; h 表示hG-hG网格边界点的集合。 kju 表示定义在网点ki tx ,处的待求近似解, Nj 0, Mk 0。 注意到在节点ki tx ,处的微商和差商之间的下列关系((,)kjkjuu x ttt ):   Otutxutxukjkjkj,,1   2112,,Otutxutxukjkjkj   hOxuhtxutxukjkjkj,,1   hOxuhtxutxukjkjkj ,,1   2112,,hOxuhtxutxukjkjkj   222211,,2,hOxuhtxutxutxukjkjkjkj 可得到以下几种最简差分格式 (一) 向前差分格式  14.1 kjkjuu1jkjkjkjfhuuua2112  jjxff  24.1  jjjxu 0, ku0 =kNu =0 其中1,,1,0Nj,1,,1,0Mk。取2har为网比,则进一步有  14.1 1kju=kjru1 +r21kju +kjru1 +jf 此差分格式是按层计算:首先,令0k,得到 1ju =01jru+r210ju +01jru+jf 于 是 ,...

1、当您付费下载文档后,您只拥有了使用权限,并不意味着购买了版权,文档只能用于自身使用,不得用于其他商业用途(如 [转卖]进行直接盈利或[编辑后售卖]进行间接盈利)。
2、本站所有内容均由合作方或网友上传,本站不对文档的完整性、权威性及其观点立场正确性做任何保证或承诺!文档内容仅供研究参考,付费前请自行鉴别。
3、如文档内容存在违规,或者侵犯商业秘密、侵犯著作权等,请点击“违规举报”。

碎片内容

抛物型方程有限差分法

小辰6+ 关注
实名认证
内容提供者

出售各种资料和文档

确认删除?
VIP
微信客服
  • 扫码咨询
会员Q群
  • 会员专属群点击这里加入QQ群
客服邮箱
回到顶部