电脑桌面
添加小米粒文库到电脑桌面
安装后可以在桌面快捷访问

拼音汉字大全

拼音汉字大全_第1页
1/9
拼音汉字大全_第2页
2/9
拼音汉字大全_第3页
3/9
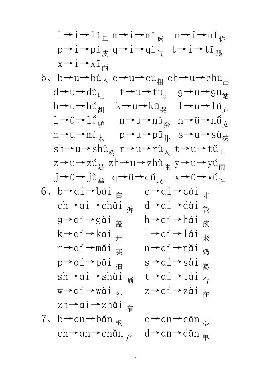
1 拼音汉字大全 1、ɑ→啊ā ɑi→爱ài ɑn→安ān ɑnɡ→ 昂ánɡ ɑo→凹āo e→鹅é en→嗯ēn er→耳ěr ou→鸥ōu 整体认读音节字 cì刺 chī吃 sī思 shī师 rì日 yī衣 zì字 zhī蜘 yé爷 yuè 月 yuǎn 远 yún 云 wǔ五 yǔ雨 yūn 云 yīn 音 yínɡ迎 2、b→ɑ→bà爸 c→ɑ→cā擦 ch→ɑ→chā插 d→ɑ→dà大 f→ɑ→fā发 ɡ→ɑ→ɡā嘎 h→ɑ→hā哈 k→ɑ→kǎ卡 l→ɑ→lā拉 m→ɑ→mā妈 n→ɑ→ná拿 p→ɑ→pá爬 s→ɑ→sǎ洒 sh→ɑ→shā沙 t→ɑ→tā他 w→ɑ→wā挖 y→ɑ→yá牙 z→ɑ→zá杂 zh→ɑ→zhà炸 3、c→e→cè厕 d→e→dé德 ɡ→e→ɡē哥 h→e→hē喝 k→e→kē棵 l→e→lè乐 m→e→mē么 n→e→nē呢 r→e→rè热 s→e→sè色 sh→e→shé舌 t→e→tè特 z→e→zé责 zh→e→zhè这 4、b→i→bí鼻 d→i→dī低 j→i→jī机 2 l→i→lǐ里 m→i→mī咪 n→i→nǐ你 p→i→pí皮 q→i→qì气 t→i→tī踢 x→i→xī西 5、b→u→bù不 c→u→cū粗 ch→u→chū出 d→u→dù肚 f→u→fuú ɡ→u→ɡū姑 h→u→hú胡 k→u→kū哭 l→u→lú庐 l→ü→lǘ驴 n→u→nǔ努 n→ü→nǚ女 m→u→mù木 p→u→pū扑 s→u→sù涑 sh→u→shù树 r→u→rù入 t→u→tǔ土 z→u→zú足 zh→u→zhù住 y→u→yú雨 j→ü→jǔ举 q→ü→qǔ取 x→ü→xú许 6、b→ɑi→bái 白 c→ɑi→cái 才 ch→ɑi→chāi 拆 d→ɑi→dài 袋 ɡ→ɑi→ɡài 盖 h→ɑi→hái 孩 k→ɑi→kāi 开 l→ɑi→lái 来 m→ɑi→mǎi 买 n→ɑi→nǎi 奶 p→ɑi→pāi 拍 s→ɑi→sài 赛 sh→ɑi→shài 晒 t→ɑi→tái 台 w→ɑi→wài 外 z→ɑi→zài 在 zh→ɑi→zhǎi 窄 7、b→ɑn→bǎn 板 c→ɑn→cān 参 ch→ɑn→chǎn 产 d→ɑn→dān 单 3 f→ɑn→fàn 饭 ɡ→ɑn→ɡàn 干 h→ɑn→hàn 汗 k→ɑn→kàn 看 l→ɑn→lán 蓝 m→ɑn→màn 慢 n→ɑn→nán 男 p→ɑn→pán 盘 r→ɑn→rǎn 染 s→ɑn→sǎn 伞 sh→ɑn→shān 山 t→ɑn→tán 弹 w→ɑn→wān 弯 y→ɑn→yān 咽 z→ɑn→zàn 暂 zh→ɑn→zhàn 站 8、b→ei→bēi 杯 f→ei→fēi 飞 ɡ→ei→ɡěi 给 h→ei→hēi 黑 l→ei→léi 雷 m...

1、当您付费下载文档后,您只拥有了使用权限,并不意味着购买了版权,文档只能用于自身使用,不得用于其他商业用途(如 [转卖]进行直接盈利或[编辑后售卖]进行间接盈利)。
2、本站所有内容均由合作方或网友上传,本站不对文档的完整性、权威性及其观点立场正确性做任何保证或承诺!文档内容仅供研究参考,付费前请自行鉴别。
3、如文档内容存在违规,或者侵犯商业秘密、侵犯著作权等,请点击“违规举报”。

碎片内容

拼音汉字大全

确认删除?
VIP
微信客服
  • 扫码咨询
会员Q群
  • 会员专属群点击这里加入QQ群
客服邮箱
回到顶部