电脑桌面
添加小米粒文库到电脑桌面
安装后可以在桌面快捷访问

概率论习题及答案习题详解

概率论习题及答案习题详解_第1页
1/22
概率论习题及答案习题详解_第2页
2/22
概率论习题及答案习题详解_第3页
3/22
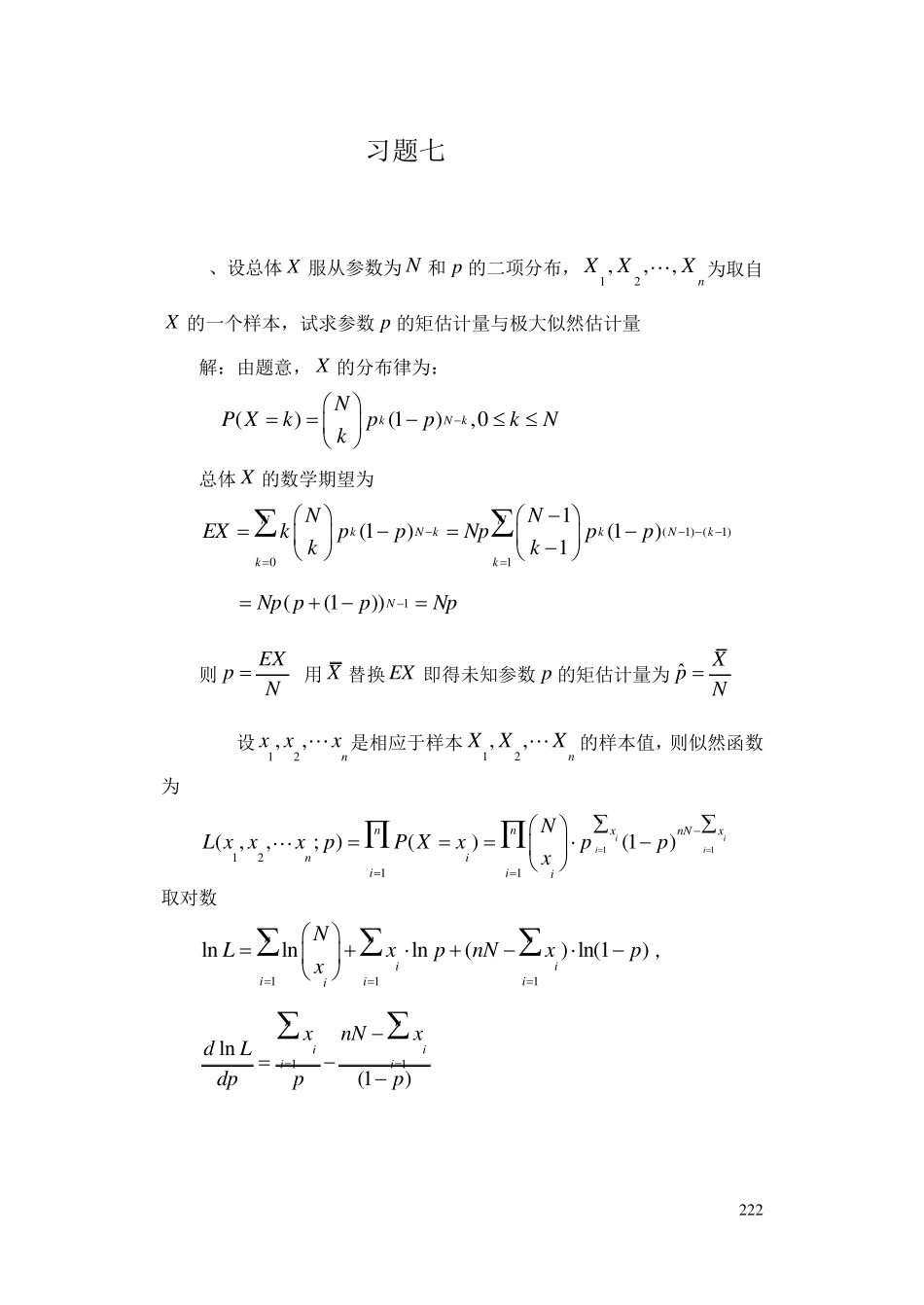
222 习题七 ( A ) 1、设总体 X 服从参数为 N 和 p 的二项分布,nXXX,,,21为取自X 的一个样本,试求参数 p 的矩估计量与极大似然估计量. 解:由题意, X 的分布律为: ()(1),0kN kNP XkppkNk. 总体 X 的数学期望为 (1) (1)011(1)(1)1NNkN kkNkkkNNEXkppNpppkk 1((1))NNp ppNp 则EXpN.用 X 替换 EX 即得未知参数 p 的矩估计量为 ˆXpN. 设12,,nx xx是相应于样本12,,nXXX的样本值,则似然函数为 111211( ,,; )()(1)nniiiinnxnNxniiiiNL x xxpP Xxppx 取对数 111lnlnln() ln (1)nnniiiiiiNLxpnNxpx, 11ln(1)nniiiixnNxdLdppp. 223 令ln0dLdp,解得p 的极大似然估计值为 11ˆniixnpN. 从而得p 的极大似然估计量为 11ˆniiXXnpNN. 2,、设nXXX,,,21为取自总体 X 的一个样本,X 的概率密度为 22 ,0( ; )0,xxf x 其它.其中参数0 ,求 的矩估计. 解:取nXXX,,,21为母体 X 的一个样本容量为n 的样本,则 2022( )3xEXxf x dxxdx 32 EX 用 X 替换 EX 即得未知参数 的矩估计量为3ˆ2 X . 3、设12,,,nXXX总体 X 的一个样本, X 的概率密度为 0,0,0,);(1xxexxfx 其中0是未知参数,0是已知常数,求 的最大似然估计. 解:设12,,,nx xx为样本12,,,nXXX的一组观测值,则似然函数为 224 1()1121(),0( ,,,; )0,niinxnniinixexL x xx  其他 取对数 11lnlnln(1)(ln)()nniiiiLnnxx 解极大似然方程 1ln0niidLnxd 得 的极大似然估计值为1ˆniinx  从而得 的极大似然估计量为1ˆniinX  . 4、设总体 X 服从几何分布 ,10,,2,1,)1()(1pkppkXPk 试利用样本值nxxx,,,21,求参数p 的矩估计和最大似然估计. 解:因11111(1)(1)kkkkEXk pppkpp, 用 X 替换 EX 即得未知参数p 的矩估计量为1ˆpX. 在一次取样下,样本值12( ,,,)nx...

1、当您付费下载文档后,您只拥有了使用权限,并不意味着购买了版权,文档只能用于自身使用,不得用于其他商业用途(如 [转卖]进行直接盈利或[编辑后售卖]进行间接盈利)。
2、本站所有内容均由合作方或网友上传,本站不对文档的完整性、权威性及其观点立场正确性做任何保证或承诺!文档内容仅供研究参考,付费前请自行鉴别。
3、如文档内容存在违规,或者侵犯商业秘密、侵犯著作权等,请点击“违规举报”。

碎片内容

概率论习题及答案习题详解

您可能关注的文档

确认删除?
VIP
微信客服
  • 扫码咨询
会员Q群
  • 会员专属群点击这里加入QQ群
客服邮箱
回到顶部