电脑桌面
添加小米粒文库到电脑桌面
安装后可以在桌面快捷访问

汽车理论习题课讲解的题目

汽车理论习题课讲解的题目_第1页
1/8
汽车理论习题课讲解的题目_第2页
2/8
汽车理论习题课讲解的题目_第3页
3/8
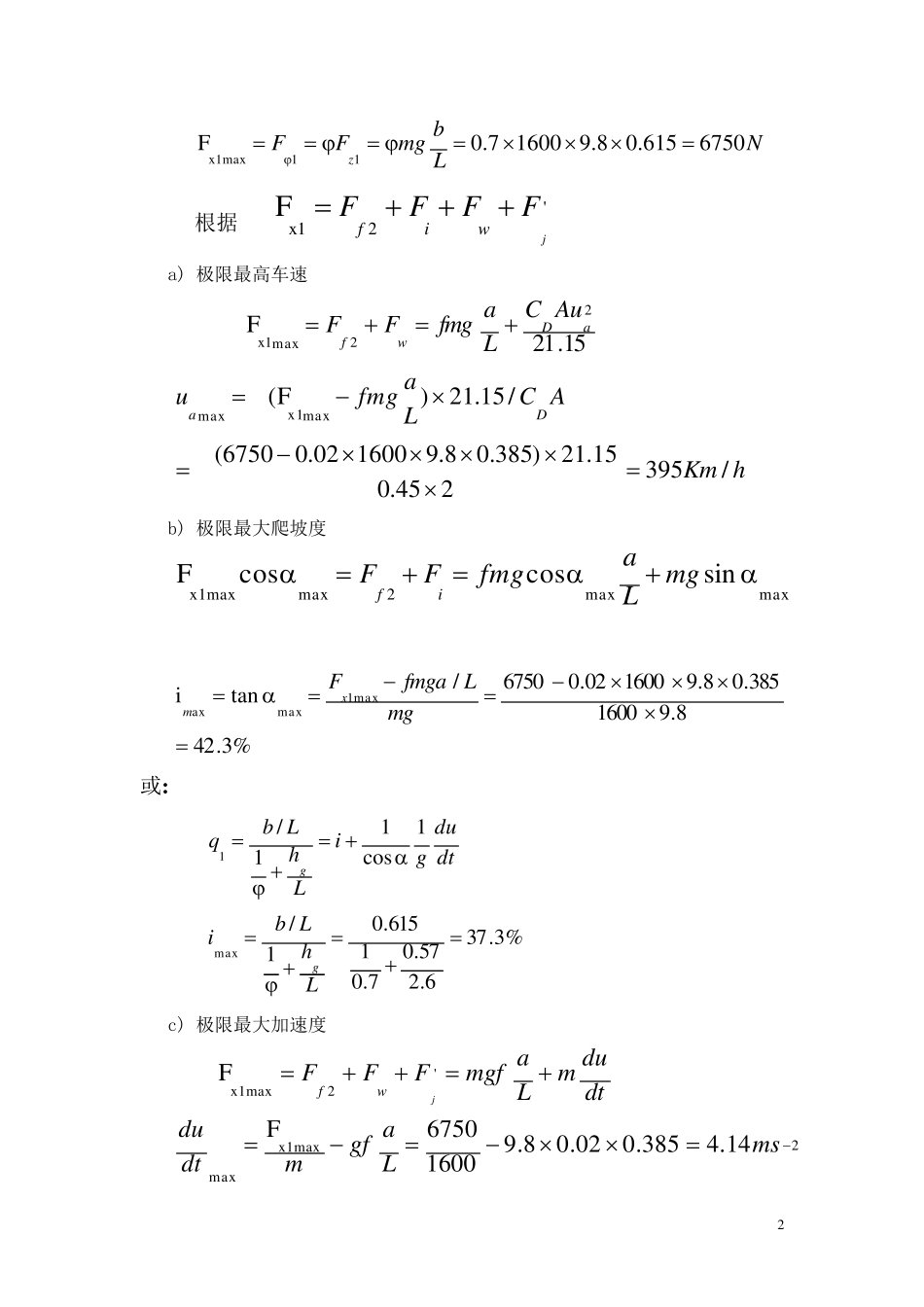
1 汽 车 理 论 习题课 1. 统计数据表明,装有0.5~2L 排量发动机的轿车,若是前置发动机前轮驱动(F.F.)轿车,其平均的前轴负荷为汽车总重力的61.5%;若是前置发动机后轮驱动(F.R.)轿车,其平均的前轴负荷为汽车总重力的55.7%。设一轿车的轴距 L=2.6m,质心高度hg=0.57m。试比较采用F.F.及F. R.形式时的附着力利用情况,分析时其前轴负荷率取相应形式的平均值。确定上述F. F.型轿车在φ=0. 7 路面上的附着力,并求由附着力所决定的极限最高车速与极限最大爬坡度及极限最大加速度(在求最大爬坡度和最大加速度时可设Fw=0)。其他有关参数为:m=1600kg,CD=0.45,A=2.00 m2,f=0.02。 解:1)比较附着力利用情况 根据等效坡度的定义: LhLaqLhLbqgg1/1/21 2)确定F. F.型轿车由附着力所决定的极限最高车速、最大爬坡度、最大加速度 最大地面切向反力 = 前轮附着力 2 NLbmgFFz6750615.08.916007.0F11x 1max 根据 '2x 1FjFFFFwif a) 极限最高车速 15.21F22maxx 1aDwfAuCLafmgFF hKmACLafmguDa/395245.015.21)385.08.9160002.06750(/15.21)(Fmaxx 1max b) 极限最大爬坡度 maxmax2maxx 1maxsincoscosFmgLafmgFFif %3.428.91600385.08.9160002.06750/tanimax1maxaxmgLfmgaFxm或: dtdugiLhLbqg1cos11/1 %3.376.257.07.01615.01/maxLhLbig c) 极限最大加速度 dtdumLamgfFFFjwf'2x 1maxF 2x 1maxmax14.4385.002.08.916006750FmsLagfmdtdu 3 或: 2max66.38.96.257.07.01615.01/msgLhLbdtdug 2. 某轿车的质量m=1600kg,车轮半径r=0.3m,制动器的摩擦力矩为, pFT6 (N·m),pF 为制动踏板力(单位:N ) 。当汽车在 =0.6 的路面上,以 50 km/h 的速度行驶,驾驶员以 300N 的踏板力制动(车轮未抱死)时,制动距离为多少(不考虑制动器起作用时间)? 解:制动器制动力: )(60003.030066NrFrTFp 车轮未抱死时,地面制动力等于制动器制动力。)(6000 NFFXb 制动减速度:)(75.3160060002smmFjXb 制动距离:)(72.2575.392.255092.25220mjuSa 讨论:①如果驾驶员以 300N 的踏板力制动(未注明车轮未抱死)时,如何计算;②如果驾驶员以 600N 的踏板...

1、当您付费下载文档后,您只拥有了使用权限,并不意味着购买了版权,文档只能用于自身使用,不得用于其他商业用途(如 [转卖]进行直接盈利或[编辑后售卖]进行间接盈利)。
2、本站所有内容均由合作方或网友上传,本站不对文档的完整性、权威性及其观点立场正确性做任何保证或承诺!文档内容仅供研究参考,付费前请自行鉴别。
3、如文档内容存在违规,或者侵犯商业秘密、侵犯著作权等,请点击“违规举报”。

碎片内容

汽车理论习题课讲解的题目

您可能关注的文档

确认删除?
VIP
微信客服
  • 扫码咨询
会员Q群
  • 会员专属群点击这里加入QQ群
客服邮箱
回到顶部