电脑桌面
添加小米粒文库到电脑桌面
安装后可以在桌面快捷访问

河南专升本高等数学试题

河南专升本高等数学试题_第1页
1/29
河南专升本高等数学试题_第2页
2/29
河南专升本高等数学试题_第3页
3/29
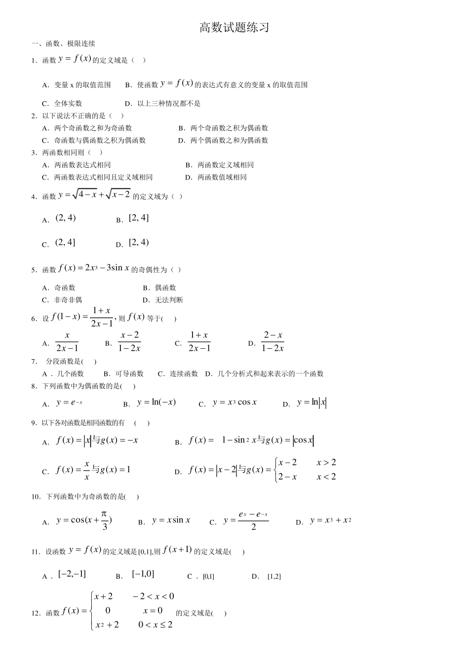
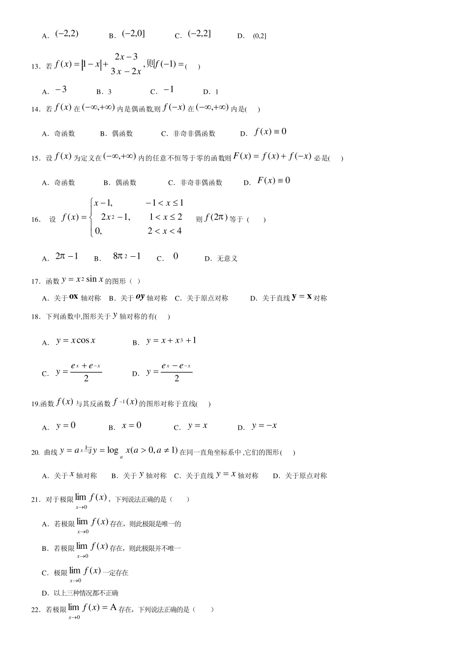
高数试题练习 一、函数、极限连续 1.函数)(xfy 的定义域是( ) A.变量 x 的取值范围 B.使函数)(xfy 的表达式有意义的变量 x 的取值范围 C.全体实数 D.以上三种情况都不是 2.以下说法不正确的是( ) A.两个奇函数之和为奇函数 B.两个奇函数之积为偶函数 C.奇函数与偶函数之积为偶函数 D.两个偶函数之和为偶函数 3.两函数相同则( ) A.两函数表达式相同 B.两函数定义域相同 C.两函数表达式相同且定义域相同 D.两函数值域相同 4.函数 42yxx的定义域为( ) A. (2, 4) B.[2, 4] C.(2, 4] D.[2, 4) 5.函数3( )23sinf xxx的奇偶性为( ) A.奇函数 B.偶函数 C.非奇非偶 D.无法判断 6.设,121)1(xxxf则)(xf等于( ) A.12 xx B.xx212 C.121xx D.xx212 7. 分段函数是( ) A .几个函数 B.可导函数 C.连续函数 D.几个分析式和起来表示的一个函数 8.下列函数中为偶函数的是( ) A.xey B.)ln( xy C.xxycos3 D.xyln 9.以下各对函数是相同函数的有( ) A.xxgxxf)()(与 B.xxgxxfcos)(sin1)(2与 C.1)()(xgxxxf与 D.2222)(2)(xxxxxgxxf与 10.下列函数中为奇函数的是( ) A.)3cos(xy B.xxysin C.2xxeey D.23xxy 11.设函数)(xfy 的定义域是[0,1],则)1( xf的定义域是( ) A .]1,2[ B. ]0,1[ C .[0,1] D. [1,2] 12.函数20200022)(2xxxxxxf的定义域是( ) A.)2,2( B.]0,2( C.]2,2( D. (0,2] 13.若)1(,23321)(fxxxxxf则 ( ) A.3 B.3 C.1 D.1 14.若)(xf在),(内是偶函数,则)( xf 在),(内是( ) A.奇函数 B.偶函数 C.非奇非偶函数 D.0)(xf 15.设)(xf为定义在),(内的任意不恒等于零的函数,则)()()(xfxfxF必是( ) A.奇函数 B.偶函数 C.非奇非偶函数 D.0)(xF 16. 设 42,021,1211,1)(2xxxxxxf 则 )2( f等于 ( ) A.12 B.182  C. 0 D.无意义 17.函数xxysin2的图形( ) A.关于ox 轴对称 B.关于oy轴对称 C.关于原点对称 D.关于直线xy 对称 18.下列函数中,图形关于y 轴对称的有( )...

1、当您付费下载文档后,您只拥有了使用权限,并不意味着购买了版权,文档只能用于自身使用,不得用于其他商业用途(如 [转卖]进行直接盈利或[编辑后售卖]进行间接盈利)。
2、本站所有内容均由合作方或网友上传,本站不对文档的完整性、权威性及其观点立场正确性做任何保证或承诺!文档内容仅供研究参考,付费前请自行鉴别。
3、如文档内容存在违规,或者侵犯商业秘密、侵犯著作权等,请点击“违规举报”。

碎片内容

河南专升本高等数学试题

小辰3+ 关注
实名认证
内容提供者

出售各种资料和文档

确认删除?
VIP
微信客服
  • 扫码咨询
会员Q群
  • 会员专属群点击这里加入QQ群
客服邮箱
回到顶部