电脑桌面
添加小米粒文库到电脑桌面
安装后可以在桌面快捷访问

直线和椭圆位置关系总结大全

直线和椭圆位置关系总结大全_第1页
1/13
直线和椭圆位置关系总结大全_第2页
2/13
直线和椭圆位置关系总结大全_第3页
3/13
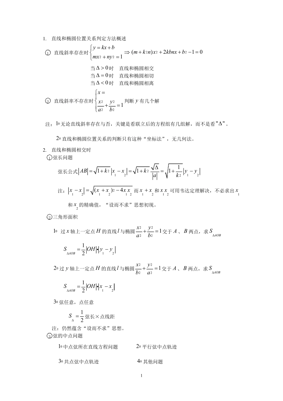
11.直线和椭圆位置关系判定方法概述1直线斜率存在时221ykxbmxny222()210mk n xkbnxb 当0 时直线和椭圆相交当0 时直线和椭圆相切当0 时直线和椭圆相离2直线斜率不存在时22221xxyab判断y 有几个解注:01 无论直线斜率存在与否,关键是看联立后的方程组有几组解,而不是看" " 。02 直线和椭圆位置关系的判断只有这种“坐标法”,无几何法。2.直线和椭圆相交时1 弦长问题弦长公式22121221111ABkxxkyyak注:2121212()4xxxxx x而12xx和12x x 可用韦达定理解决,不必求出1x和2x 的精确值,“设而不求”思想初现。2 三角形面积01过x 轴上一定点H 的直线l 与椭圆22221xyab 交于A 、B 两点,求AOBS1212AOBSOHyy02 过y 轴上一定点H 的直线l 与椭圆22221xyba 交于A 、B 两点,求AOBS1212AOBSOHxx03 弦任意,点任意12S 弦长×点线距注:仍然蕴含“设而不求”思想。3 弦的中点问题01 中点弦所在直线方程问题02 平行弦中点轨迹03 共点弦中点轨迹04 其他问题2类型题一:直线与椭圆位置1.已知直线 2 kxy和椭圆12322 yx,当k 取何值时,此直线与椭圆:(1)相交;(2)相切;(3)相离。2.已知直线 2 kxy与椭圆2222 yx相交于不同的两点,求k 的取值范围。3.点 P 在椭圆284722yx上,则点 P 到直线01623yx的距离的最大值为_____,最小值为________.类型题二:弦长公式1.已知椭圆:1922 yx,过左焦点1F 作倾斜角为 6的直线交椭圆于BA,两点,求弦 AB的长。32.已知椭圆122 nymx与直线 1 yx相交于BA,两点C 为AB 的中点。22AB,OC 的斜率为22(O 为原点),求椭圆方程。3.已知椭圆2241xy及直线yxm.(1)当m 为何值时,直线与椭圆有公共点?(2)若直线被椭圆截得的弦长为2 105,求直线的方程.4.已知直线 mxy与椭圆1422 yx相交于BA、两点,当m 变化时,求AB 的最大值。4类型题三:弦中点问题(点差法)1.已知椭圆193622 yx,弦AB 的中点是)1,3(M,求弦AB 所在的直线方程。2.直线 1yx 被椭圆2224xy所截的弦的中点坐标是()(A)( 31, - 32)(B)(- 32, 31)(C)( 21, - 31)(D)(- 31, 21)3.已知椭圆221369xy,椭圆内一点(4,2)P,则以 P 为中点的弦所在的直线的斜率是(A) ...

1、当您付费下载文档后,您只拥有了使用权限,并不意味着购买了版权,文档只能用于自身使用,不得用于其他商业用途(如 [转卖]进行直接盈利或[编辑后售卖]进行间接盈利)。
2、本站所有内容均由合作方或网友上传,本站不对文档的完整性、权威性及其观点立场正确性做任何保证或承诺!文档内容仅供研究参考,付费前请自行鉴别。
3、如文档内容存在违规,或者侵犯商业秘密、侵犯著作权等,请点击“违规举报”。

碎片内容

直线和椭圆位置关系总结大全

确认删除?
VIP
微信客服
  • 扫码咨询
会员Q群
  • 会员专属群点击这里加入QQ群
客服邮箱
回到顶部