电脑桌面
添加小米粒文库到电脑桌面
安装后可以在桌面快捷访问

矩阵论课后习题答案

矩阵论课后习题答案_第1页
1/32
矩阵论课后习题答案_第2页
2/32
矩阵论课后习题答案_第3页
3/32
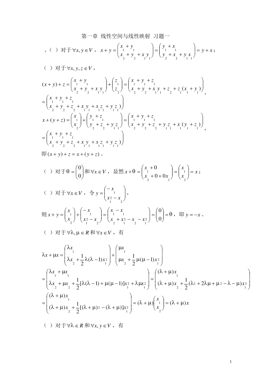
1 第一章 线性空间与线性映射 习题一 (43-45) 1、(1)对于Vyx ,,xyxyxyxyyxyxyxyx112211112211; (2)对于Vzyx,,, ))()(1111112221111112112211121112211zyzxyxzyxzyxyxzzyxyxzyxzzyxyxyxzyx, ))()(1111112221111111122211111221121zyzxyxzyxzyxzyxzyzyxzyxzyzyzyxxzyx, 即)()(zyxzyx。 (3)对于 00和Vx ,显然xxxxxxx21121000; (4)对于Vx ,令2211xxxy, 则0021221211221121xxxxxxxxxxxyx,即xy。 (5)对于R,和Vx ,有 xxxxxxxxxxxxxxxxxxxxxxx)()()]()[(21)()()2(21)()()]1()1([21)1(21)1(2121212212122212121221121212121(6)对于R和Vyx ,,有 2 211112211112211))(1(21)()()(yxyxyxyxyxyxyxyx, 211112211112212211122111122122121121212121))(1(21)()()1(21)1(21)()1(21)1(21)1(21)1(21yxyxyxyxyxyyxyxyxyxyxyyxxyxyyyxxxyx, 即yxyx)(。 (7)对于 R,和Vx ,有 xxxxxxxxxxxxxxx)()1(21)]1()1[(21)1(21])1(21[)1(21)(2121212121221212121...

1、当您付费下载文档后,您只拥有了使用权限,并不意味着购买了版权,文档只能用于自身使用,不得用于其他商业用途(如 [转卖]进行直接盈利或[编辑后售卖]进行间接盈利)。
2、本站所有内容均由合作方或网友上传,本站不对文档的完整性、权威性及其观点立场正确性做任何保证或承诺!文档内容仅供研究参考,付费前请自行鉴别。
3、如文档内容存在违规,或者侵犯商业秘密、侵犯著作权等,请点击“违规举报”。

碎片内容

矩阵论课后习题答案

确认删除?
VIP
微信客服
  • 扫码咨询
会员Q群
  • 会员专属群点击这里加入QQ群
客服邮箱
回到顶部