电脑桌面
添加小米粒文库到电脑桌面
安装后可以在桌面快捷访问

自动控制原理_第二版_课后答案

自动控制原理_第二版_课后答案_第1页
1/23
自动控制原理_第二版_课后答案_第2页
2/23
自动控制原理_第二版_课后答案_第3页
3/23
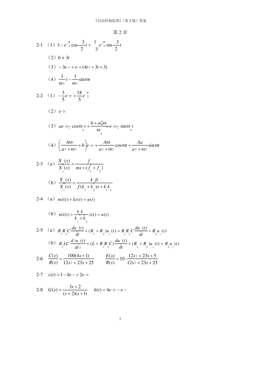
《自动控制原理》 (第 2 版) 习题答案 《自动控制原理》(第 2 版)答案 1第 2 章 2-1 (1)tetett23sin3123cos122 (2)6 + 3t (3))334(322tteett (4)ttsin1132 2-2 (1)2351853ttee (2)te 2 (3)teabtaentnnntnnsincos (4)taAataAebaAatsincos222222 2-3 (a))()()(2110ffmsfsXsXi (b)212110)()()(kkskkffsksXsXi 2-4 (a))()()(tutkxtxm (b))()()(2121tutxkkkktxm 2-5 (a))()()()()(2212121tuRdttduCRRtuRRdttduCRRrrcc (b))()()()()()(22121221tuRtuRRdttduCRRLdttudLCRrccc 2-6 252312)14(100)()(2ssssRsC 2523125231210)()(22sssssRsE 2-7 tteetc2241)(  2-8 )1)(2(23)(ssssG tteeth24)( 《自动控制原理》(第 2 版)答案 22-9 (a)1)(1)()(32213sRRCsCRRRsUsUrc (b)13221)()()(RRRsRCRsUsUrc 2-10 (a)))((1)()(432121GGGGGGsRsC (b))(1)1()()(21221HHGGGsRsC (c)331311321332123113211)()(HGHGHGGGGHGGHGGHGGGGsRsC 2-11 (a)32211)()(GGGGsRsC (b)HGHHGsRsC111)1()()( (c)121223121)()()(HGGHGGGGsRsC 2-12 (a)))((1)1()()(23111232123111134321HGHGHHGGGHGHGHGGGGGGsRsC ))((1)1(1)()(2311123212311123423HGHGHHGGGHGHGHHGGHGsRsE (b)21212121312)()(GGGGGGGGsRsC 21212131)1(1)()(GGGGGGsRsE 2-13 (a)12121211)()(HGGGGGGsRsC 121211211)1(1)()(HGGGGHGGsRsE 12121231211)1(1)()(HGGGGGGHGGsDsC 12121231211)1(1)()(HGGGGGGHGGsDsE (b)434242143421)()(GGGGGGGGGGGsRsC 434242111)()(GGGGGGGsRsE 434241)()(GGGGGsDsC 434241)()(GGGGGsDsE 《自动控制原理》(第 2 版)答案 32-14 (a)))((1)(23113343321231134321HGHGHGGHGGGHGHGGGGGGsG (b)3541432326543211)(HGGHGGHGGGGGGGGsG (c) 15.1 (d)))((1)1()(chafehgfchgbafgbedabcdsG...

1、当您付费下载文档后,您只拥有了使用权限,并不意味着购买了版权,文档只能用于自身使用,不得用于其他商业用途(如 [转卖]进行直接盈利或[编辑后售卖]进行间接盈利)。
2、本站所有内容均由合作方或网友上传,本站不对文档的完整性、权威性及其观点立场正确性做任何保证或承诺!文档内容仅供研究参考,付费前请自行鉴别。
3、如文档内容存在违规,或者侵犯商业秘密、侵犯著作权等,请点击“违规举报”。

碎片内容

自动控制原理_第二版_课后答案

小辰4+ 关注
实名认证
内容提供者

出售各种资料和文档

确认删除?
VIP
微信客服
  • 扫码咨询
会员Q群
  • 会员专属群点击这里加入QQ群
客服邮箱
回到顶部