电脑桌面
添加小米粒文库到电脑桌面
安装后可以在桌面快捷访问

自动控制理论(夏德铃)

自动控制理论(夏德铃)_第1页
1/35
自动控制理论(夏德铃)_第2页
2/35
自动控制理论(夏德铃)_第3页
3/35
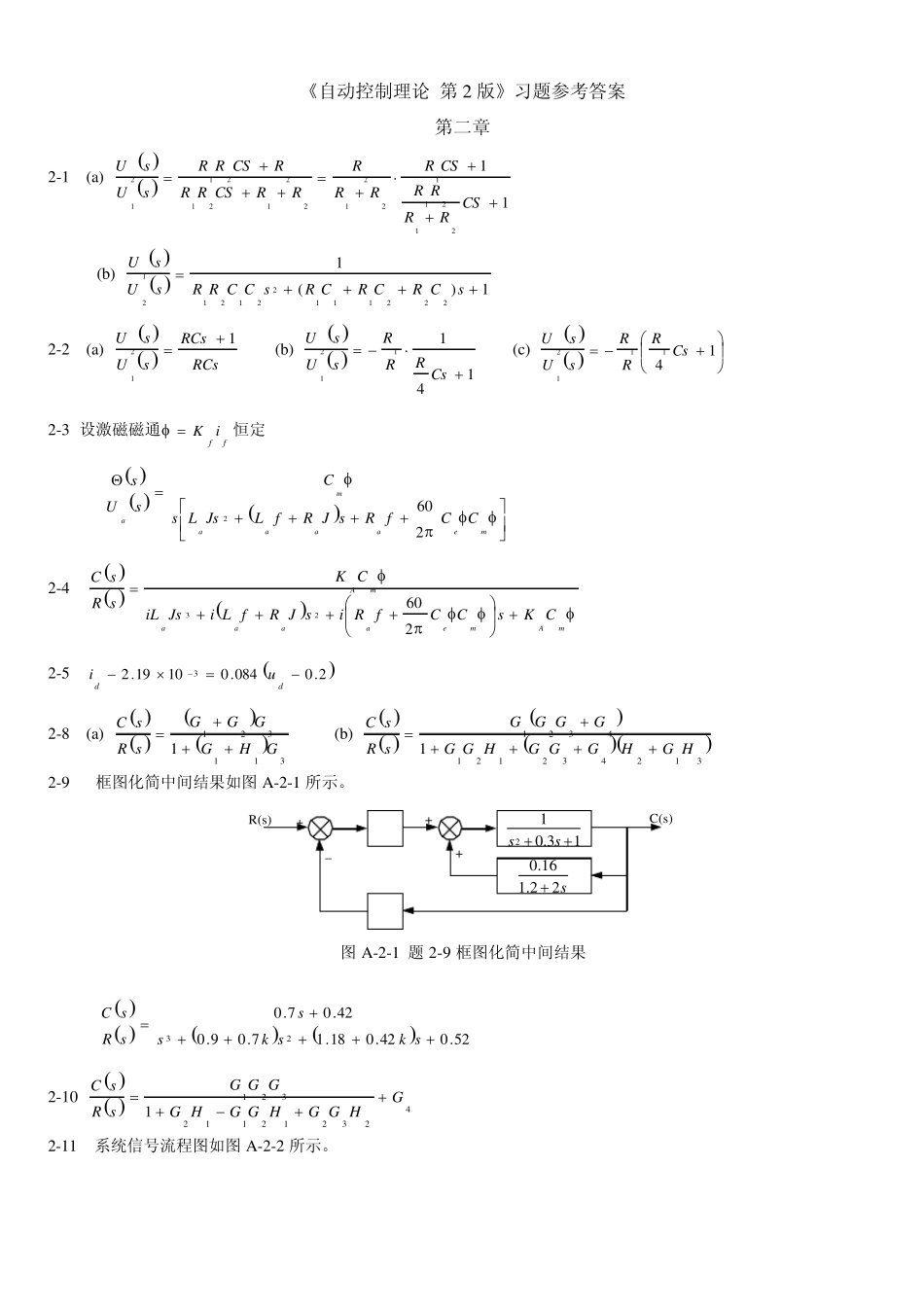
《自动控制理论 第2 版》习题参考答案 第二章 2-1 (a)   1121211212212122112CSRRRRCSRRRRRRCSRRRCSRRsUsU (b)   1)(12221112212121sCRCRCRsCCRRsUsU 2-2 (a)   RCsRCssUsU112 (b)   141112CsRRRsUsU (c)   141112CsRRRsUsU 2-3 设激磁磁通ff iK恒定   meaaaamaCCfRsJRfLJsLsCsUs2602 2-4   mAmeaaaamACKsCCfRisJRfLiJsiLCKsRsC26023 2-5 2.0084.01019.23ddui 2-8 (a)   3113211GHGGGGsRsC (b)   31243212143211HGHGGGHGGGGGGsRsC 2-9 框图化简中间结果如图A-2-1 所示。 0.7C(s) + + _ R(s) 113.02sss22.116.0Ks+ 图A-2-1 题2-9 框图化简中间结果   52.042.018.17.09.042.07.023sksksssRsC 2-10   4232121123211GHGGHGGHGGGGsRsC 2-11 系统信号流程图如图A-2-2 所示。 图A-2-2 题2-11 系统信号流程图     2154214212654212215421421321111HHGGGGGGGHGGGGGsRsCHHGGGGGGGGGGsRsC 2-12 (a)   adgiabcdiagdefabcdefcdhsRsC11 (b)   1221211222112sCRCRCRsCRCRRsRsC 2-13 由选加原理,可得      sDHGGsDGsDGsRGGGHGHsC3121221221221111 第三章 3-1 分三种情况讨论 (a) 当1时    221221222211112121,122ttnnnnnneettcss (b) 当10 时  22222222222121121sin1121sin1211cos221,1arctgtettetettcjsjsntnnntnntnnnnnnn (c) 当1时 设系统为单位反馈系统,有     2222nnnrssssRscsRsE 系统对单位斜...

1、当您付费下载文档后,您只拥有了使用权限,并不意味着购买了版权,文档只能用于自身使用,不得用于其他商业用途(如 [转卖]进行直接盈利或[编辑后售卖]进行间接盈利)。
2、本站所有内容均由合作方或网友上传,本站不对文档的完整性、权威性及其观点立场正确性做任何保证或承诺!文档内容仅供研究参考,付费前请自行鉴别。
3、如文档内容存在违规,或者侵犯商业秘密、侵犯著作权等,请点击“违规举报”。

碎片内容

自动控制理论(夏德铃)

您可能关注的文档

确认删除?
VIP
微信客服
  • 扫码咨询
会员Q群
  • 会员专属群点击这里加入QQ群
客服邮箱
回到顶部