电脑桌面
添加小米粒文库到电脑桌面
安装后可以在桌面快捷访问

化学工程与工艺-柠檬香蜂草中多糖的提取工艺研究

化学工程与工艺-柠檬香蜂草中多糖的提取工艺研究_第1页
1/23
化学工程与工艺-柠檬香蜂草中多糖的提取工艺研究_第2页
2/23
化学工程与工艺-柠檬香蜂草中多糖的提取工艺研究_第3页
3/23
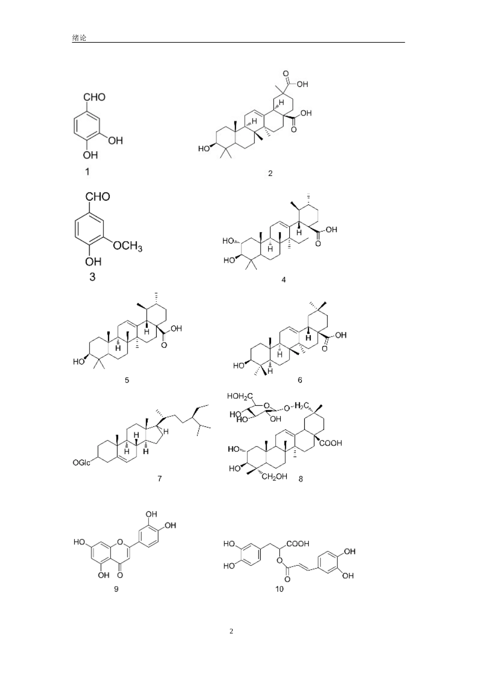
1绪论 第一章 绪论1.1 柠檬香蜂草及国内外研究现状1.1.1 香蜂草简介 柠檬香蜂草又被称为“柠檬香薄荷”、“香蜂花”。属于唇形科,是多年生草本植物,其原产地为欧洲地中海两岸,主要生产地为法国,在中国的中南、西南和台湾也有其野生分布,但是目前种植较少[1]。 柠檬香蜂草具有清新的柠檬香气,既可作为食物,又可入药。作蔬菜食用,能提供人体所必须的养分。香蜂草的新鲜叶子和嫩梢中,含有丰富的蛋白质、维生素等多种营养物质。其中又含有大量硒,对人体健康有很大好处。且香蜂草生长周期短、病虫害较少,不需要农药,故可做到真正的绿色保健[2]。 在食用方面,可作凉拌直接生吃,也可作为其他菜品的调味料。在医疗方面,可将香蜂草与蜂蜜混合食用,可以起到促进消化、减缓喉咙痛等症状。可将新鲜的叶子直接敷于创口处或蚊虫叮咬处,有止血止痛的功效,可谓“绿色伤药”。除此之外,柠檬香蜂草还属于传统民间医药,对于失眠、偏头痛、焦虑症、精神病、胃痛以及支气管疾病、高血压有一定的辅助治疗的作用。关于综合利用加工方面,芳香精油还可从柠檬香蜂草中提炼,可用于加工香枕、香袋、保健香茶等。1.1.2 柠檬香蜂草的化学成分研究进展 对柠檬香蜂草中的化学成分进行分析,发现每 100g 香蜂草的新鲜嫩芽中,含有还原糖 2.66g、粗蛋白 5.75g、纤维素 5.93g、VC1.2mg、胡萝卜素 0.24mg、钾804mg、钙 309mg、镁 149mg、铁 5.38mg、锌 0.97mg、锶 1.5mg、锰 0.75mg、硒3.26μg,还包括芳香油、苦味素、黄酮等有机化合物。而钾、钙含量较明显较高[3]。 除上述物质外,香蜂草内还蕴含极其丰富的有机物,包括醛类化合物,例如柠檬醛、香茅醛、橙花醛、香叶醛等;萜类化合物,例如香茅醇、香叶醇、乙酸芳樟酯芳樟醇、单宁酸、α-蒎烯、β-蒎烯、β-石竹烯等;酚类化合物,例如迷迭香酸,咖啡酸和 3,4-二羟基苯基乳酸酯;和一些天然的黄酮类化合物,例如木犀草素、木犀草素-7-O-β-D-葡萄糖苷、芹菜素-7-O-β-D-葡萄糖苷、木犀草素-7-O-β-D-吡喃葡萄糖醛苷、木犀草素-7-O-β-D-葡萄糖苷等[4]。冀紫阳[5]等人对通过研究柠檬香蜂草的药用化学成分,将柠檬香蜂草提取液的浸膏部分经过硅胶柱层析、重结晶、制备薄层色谱等方法分离纯化,从中得到了 13 个化合物,它们分别为:原儿茶醛(1)、三对节酸(2)、香草醛(3)、2α,3β-二羟基乌苏-12 烯-28-酸(4)、乌索酸(5)、齐墩果酸(6)、胡萝卜苷(7)、2α,3β,23,29-四羟基齐墩果...

1、当您付费下载文档后,您只拥有了使用权限,并不意味着购买了版权,文档只能用于自身使用,不得用于其他商业用途(如 [转卖]进行直接盈利或[编辑后售卖]进行间接盈利)。
2、本站所有内容均由合作方或网友上传,本站不对文档的完整性、权威性及其观点立场正确性做任何保证或承诺!文档内容仅供研究参考,付费前请自行鉴别。
3、如文档内容存在违规,或者侵犯商业秘密、侵犯著作权等,请点击“违规举报”。

碎片内容

化学工程与工艺-柠檬香蜂草中多糖的提取工艺研究

您可能关注的文档

确认删除?
VIP
微信客服
  • 扫码咨询
会员Q群
  • 会员专属群点击这里加入QQ群
客服邮箱
回到顶部