电脑桌面
添加小米粒文库到电脑桌面
安装后可以在桌面快捷访问

电力系统突变信号检测的一种实时小波算法

电力系统突变信号检测的一种实时小波算法_第1页
1/6
电力系统突变信号检测的一种实时小波算法_第2页
2/6
电力系统突变信号检测的一种实时小波算法_第3页
3/6
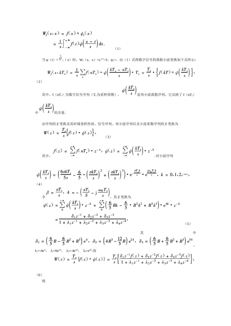
电力系统突变信号检测的一种实时小波算法传统的 Fourier 分析主要适用于平稳信号,将其用于分析瞬态故障信号时,则会丢失瞬态信号的局部信息,产生较大的分析误差.加窗 Fourier 变换运用固定的“刚性”时窗在分析突变的频率信号时仍有局限性.小波分析克服了这种不足,其可调的“柔性”窗对信号细节有“聚焦”功能,特别适合分析和 检测出信号的突变成分[1]. 为保证电力系统的安全、可靠运行,须对电力设备进行状态监测和故障诊断,能根据电力设备运行中测得的各种信号,通过信号分析来判别其运行的状态,若能在采集到设备故障信息突变瞬间即捕获此突变时刻以及突变量的大小,利于在故障初期及早实行措施使系统恢复正常 .对于故障的识别,常通过故障信号幅值和频率成分等信息的分析,并结合电力设备已有的故障征兆进行推断,便于故障的定位和迅速检修 .小波变换的相位信息往往对奇异性更为敏感,易于捕获奇异点,准确地检测出信号突变[2],因此可选用复值小波计算小波系数,但每次计算均需完成一次完整的积分,其计算量随数据量迅速增加 .因此寻求一种满足实时要求的快速算法,并保留原有的计算精度,对于迅速捕获设备非正常信息,在设备故障早期阶段就能发出预报,提高设备运行可靠性有着极其重要的意义. 本文详细推导了一种单向快速递推算法,计算少量小波初值后,小波系数的计算依递推关系实现,其计算量随数据量增加不大,可用于实时计算.在此基础上提取对奇异性较为敏感的相位信息辅助幅值信息来实时监测电力系统的突变信号,并且能获得和直接积分小波变换相当的精度,易于准确及时地检测出信号的突变点.这种递推算法的思想同样适用于其他小波函数. 1 实时递推小波算法 文献[3]选用复值小波,构造了一双向递推算法(recursive wavelet transform),对某一确定的尺度 s,只需计算一次 δ1, λ1等 5 个复系数及其共轭,此后只需递推计算小波系数,计算量随数据增加不大,每计算一个小波系数需 36 次实数乘法和 35 次实数加法[3],这与直接积分变换比较起来,计算量大大减小,因此可用于快速计算.但它由因果和非因果两部分组成,分别需要进行向后和向前递推两部分的计算,小波变换结果不易稳定,且降低了计算速度.本文作了进一步改进,建立了一个较低次的小波函数,只需进行向后单向递推计算,克服了以上方 法 的 不 足 . 由 函 数 ψ1 ( t ) =, 易 得 一 小 波 函 数 为,满足,其 Fourier ...

1、当您付费下载文档后,您只拥有了使用权限,并不意味着购买了版权,文档只能用于自身使用,不得用于其他商业用途(如 [转卖]进行直接盈利或[编辑后售卖]进行间接盈利)。
2、本站所有内容均由合作方或网友上传,本站不对文档的完整性、权威性及其观点立场正确性做任何保证或承诺!文档内容仅供研究参考,付费前请自行鉴别。
3、如文档内容存在违规,或者侵犯商业秘密、侵犯著作权等,请点击“违规举报”。

碎片内容

电力系统突变信号检测的一种实时小波算法

津创媒+ 关注
实名认证
内容提供者

欢迎交流文创,小店资料希望满足您的需要。

确认删除?
VIP
微信客服
  • 扫码咨询
会员Q群
  • 会员专属群点击这里加入QQ群
客服邮箱
回到顶部