电脑桌面
添加小米粒文库到电脑桌面
安装后可以在桌面快捷访问

西城区高三统一测试生物试卷VIP免费

西城区高三统一测试生物试卷_第1页
1/25
西城区高三统一测试生物试卷_第2页
2/25
西城区高三统一测试生物试卷_第3页
3/25
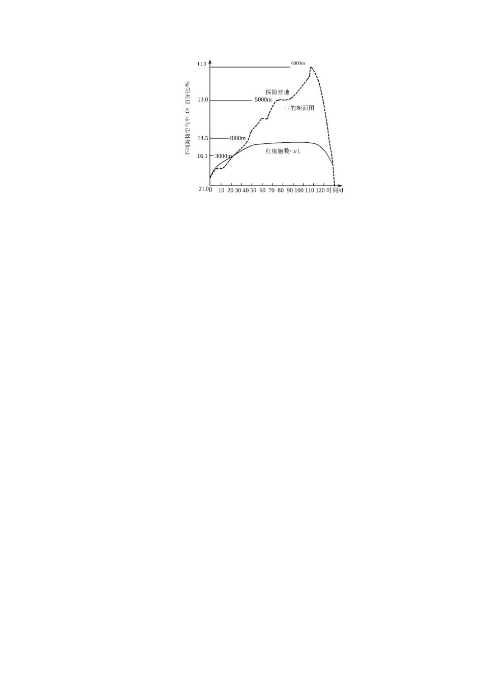
西城区高三统一测试生物本试卷共10页,共100分。考试时长90分钟。考生务必将答案写在答题卡上,在试卷上作答无效。考试结束后,将本试卷和答题卡一并交回。第一部分(选择题共30分)本部分共15个小题,每小题2分,共30分。在每小题列出的四个选项中,选出最符合题目要求的一项。1.将与生物学有关的内容依次填入下图各框中,其中包含关系错误的选项是..②④包括①包括包括③⑤包括包括⑥框号①②③④⑤⑥选项A核酸DNARNA转运RNA核糖体RNA信使RNAB减数分裂减I减II同源染色体分开非同源染色体非姐妹染色自由组合单体交叉互换C生命活动植物的激素调节动物生命活神经调节体液调节免疫调节调节动调节D生态系统非生物的物质生物群落生产者消费者分解者和能量2.右图表示一种酶与其对应底物,以下叙述错误的是..高温A.高温导致该酶空间结构发生改变酶酶底物B.高温下该酶失活是因其活性位点与底物不吻合C.降低至最适温度时此酶的活性位点结构能恢复D.酶的专一性是由酶和底物的空间结构决定的3.右图是3种抗生素影响某种细菌繁殖的实验结果。下列相关叙述不正确的是...A.各组实验所用培养基均需要灭菌B.各实验组需分别加入等量的抗生素氯霉素C.实验需要设置不加抗生素的对照组链霉素D.氯霉素对此种细菌没有抑制作用青霉素093612时间/h北京市西城区2020年4月高三生物第1页(共10页)4.红细胞中的血红蛋白可以与O2结合,随血液循环将O2运输至人体各处的细胞,供细胞生命活动利用。下图为喜马拉雅登山队的队员们在为期110天的训练过程中随运动轨迹改变(虚线),红细胞数量变化过程。以下相关叙述错误的是..不同海拔空气中O2百分比/%11.36000m探险营地13.05000m山的断面图14.54000m16.13000m红细胞数/μL21.00102030405060708090100110120时间/dA.随海拔高度增加,人体细胞主要进行无氧呼吸B.血液中的O2以自由扩散方式进入组织细胞C.红细胞数量增加,利于增强机体携带氧的能力D.回低海拔时,人体红细胞对高海拔的适应性变化会逐渐消失5.CDK蛋白是一类调控细胞周期进程的激酶。P27蛋白可以插入到CDK蛋白中改变其构象,使细胞周期停滞于DNA复制前。研究发现,敲除小鼠的P27基因,基因敲除小鼠的体型和一些器官的体积均大于正常小鼠。以下推论不正确的是...A.CDK蛋白可激活细胞有丝分裂B.P27蛋白是CDK蛋白的活化因子C.敲除P27基因可能引发细胞癌变D.P27基因表达能抑制细胞的增殖6.在进行“观察植物细胞的质壁分离及复原”的实验时,下列相关叙述不正确的是...A.实验材料应选择有活性的且有大液泡的植物细胞B.在显微镜下看到正常细胞后再滴加高浓度蔗糖溶液C.只有具紫色液泡的洋葱表皮细胞才能发生质壁分离D.本实验不能证实溶质分子进出细胞的方式7.牙鲆鱼(染色体数目2n=48)的性别决定方式为XY型。为获得经济价值更高的雌鱼,研究人员设法使牙鲆鱼次级卵母细胞直接发育为新个体,称为初代P品系。取部分初代P品系胚胎在27℃高温下培养,这些胚胎发育成为雄鱼。让这些雄鱼与正常温度下发育成的P品系雌鱼交配,可以产生二代P品系。下列相关叙述正确的是A.次级卵母细胞中性染色体为X或Y染色体B.P品系鱼胚胎细胞染色体数目为4n=96条C.二代P品系在正常温度下均会发育为雌鱼D.牙鲆鱼性别由环境温度决定,与性染色体无关北京市西城区2020年4月高三生物第2页(共10页)8.某研究小组为研究自然选择的作用,进行了如下实验:将直毛长翅果蝇(AABB)与分叉毛残翅(aabb)果蝇杂交,杂交后代作为第0代0.6放置在塑料箱中,个体间自由交配。装有食物的培分叉毛基因(a)的频率变化养瓶悬挂在箱盖上,使残翅个体难以进入。连续培0.5养7代,检测每一代、的基因频率,结果如右0.4ab图所示。已知A、a与B、b基因是自由组合的。0.3下列相关叙述正确的是0.2残翅基因(b)的频率变化A.第2代成年果蝇的性状分离比为9:3:3:10.1B.种群数量越大,a基因频率的波动幅度会越小001234567(代)C.a、b基因频率的变化都是自然选择的结果D.培养至某一代中无残翅个体时,b基因频率为09.某种噬菌体外壳蛋白基因突变使mRNA中部出现一个终止密码子,导致外壳蛋白无法合成,噬菌体不能...

1、当您付费下载文档后,您只拥有了使用权限,并不意味着购买了版权,文档只能用于自身使用,不得用于其他商业用途(如 [转卖]进行直接盈利或[编辑后售卖]进行间接盈利)。
2、本站所有内容均由合作方或网友上传,本站不对文档的完整性、权威性及其观点立场正确性做任何保证或承诺!文档内容仅供研究参考,付费前请自行鉴别。
3、如文档内容存在违规,或者侵犯商业秘密、侵犯著作权等,请点击“违规举报”。

碎片内容

西城区高三统一测试生物试卷

您可能关注的文档

文章天下+ 关注
实名认证
内容提供者

各种文档应有尽有

相关文档

确认删除?
VIP
微信客服
  • 扫码咨询
会员Q群
  • 会员专属群点击这里加入QQ群
客服邮箱
回到顶部