电脑桌面
添加小米粒文库到电脑桌面
安装后可以在桌面快捷访问

2012届高中数学 2.2.3映射素材 北师大版必修1

2012届高中数学 2.2.3映射素材 北师大版必修1_第1页
1/4
2012届高中数学 2.2.3映射素材 北师大版必修1_第2页
2/4
2012届高中数学 2.2.3映射素材 北师大版必修1_第3页
3/4
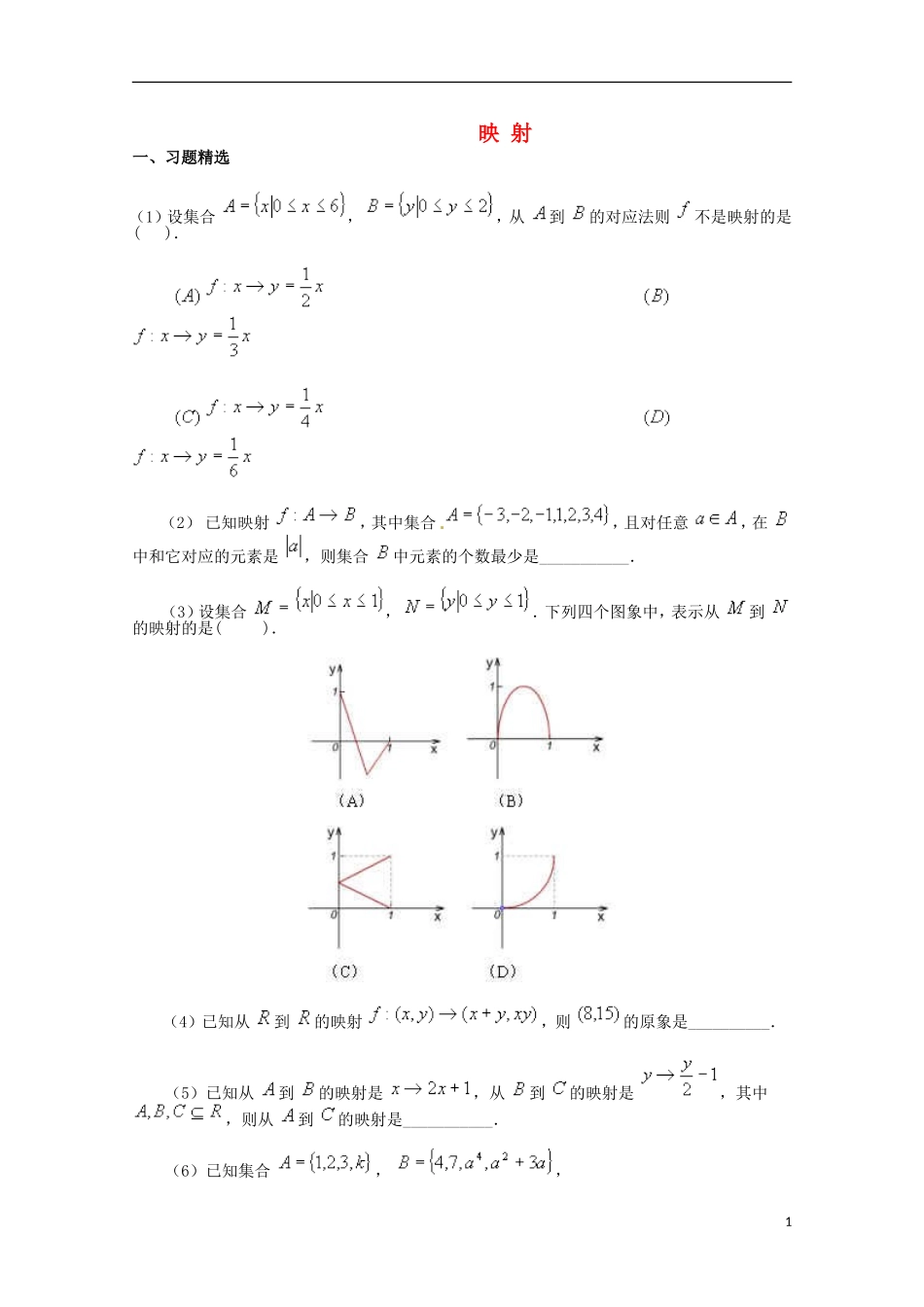
映 射一、习题精选(1)设集合 , ,从 到 的对应法则 不是映射的是( ). (2) 已知映射 ,其中集合 ,且对任意 ,在 中和它对应的元素是 ,则集合 中元素的个数最少是___________. (3)设集合 , .下列四个图象中,表示从 到 的映射的是( ). (4)已知从 到 的映射 ,则 的原象是__________. (5)已知从 到 的映射是 ,从 到 的映射是 ,其中 ,则从 到 的映射是___________. (6)已知集合 , ,1且 是由 到 的一一映射,求 的值.答案:(1) ; (2) 4; (3) ; (4) 或 ; (5) ; (6) 二、典型例题 例 1 下列集合 到集合 的对应中,判断哪些是 到 的映射? 判断哪些是 到 的一一映射? (1) ,对应法则 . (2) , , , , . (3) , ,对应法则 取正弦. (4) , ,对应法则 除以 2 得的余数. (5) , ,对应法则 . (6) , ,对应法则 作等边三角形的内切圆. 分析:解决的起点是读懂各对应中的法则含义,判断的依据是映射和一一映射的概念,要求对“任一对唯一”有准确的理解,对问题考虑要细致,周全. 解:(1)是映射,不是一一映射,因为集合 中有些元素(正整数)没有原象. (2)是映射,是一一映射.不同的正实数有不同的唯一的倒数仍是正实数,任何一个正数都存在倒数. (3)是映射,是一一映射,因为集合 中的角的正弦值各不相同,且集合 中每一个值都可以是集合 中角的正弦值. (4)是映射,不是一一映射,因为集合 中不同元素对应集合 中相同的元素. (5)不是映射,因为集合 中的元素(如 4)对应集合 中两个元素(2 和-2). (6)是映射,是一 一映射,因为任何一个等边三角形都存在唯一的内切圆,而任何一个圆都可以是一个等边三角形的内切圆.边长不同,圆的半径也不同. 说明:此题的主要目的在于明确映射构成的三要素的要求,特别是对于集合 ,集合 及对应法则 有哪些具体要求,包括对法则 是数学符号语言给出时的理解.例 2 给出下列关于从集合 到集合 的映射的论述,其中正确的有_________.2 (1) 中任何一个元素在 中必有原象; (2) 中不同元素在 中的象也不同 ; (3) 中任何一个元素在 中的象是唯一的; (4) 中任何一个元素在 中可以有不同的象; (5) 中某一元素在 中的原象可能不止一个; (6)集合 与 一定是数集; (7)记号 与 的含义是一样的. 分析:此题是对抽象的映射概念的认识,...

1、当您付费下载文档后,您只拥有了使用权限,并不意味着购买了版权,文档只能用于自身使用,不得用于其他商业用途(如 [转卖]进行直接盈利或[编辑后售卖]进行间接盈利)。
2、本站所有内容均由合作方或网友上传,本站不对文档的完整性、权威性及其观点立场正确性做任何保证或承诺!文档内容仅供研究参考,付费前请自行鉴别。
3、如文档内容存在违规,或者侵犯商业秘密、侵犯著作权等,请点击“违规举报”。

碎片内容

2012届高中数学 2.2.3映射素材 北师大版必修1

您可能关注的文档

文章天下+ 关注
实名认证
内容提供者

各种文档应有尽有

确认删除?
VIP
微信客服
  • 扫码咨询
会员Q群
  • 会员专属群点击这里加入QQ群
客服邮箱
回到顶部