电脑桌面
添加小米粒文库到电脑桌面
安装后可以在桌面快捷访问

吉林省吉林市高一数学 第三章第2节《二倍角的正弦、余弦、正切(4)》教案 新人教B版必修4

吉林省吉林市高一数学 第三章第2节《二倍角的正弦、余弦、正切(4)》教案 新人教B版必修4_第1页
1/3
吉林省吉林市高一数学 第三章第2节《二倍角的正弦、余弦、正切(4)》教案 新人教B版必修4_第2页
2/3
吉林省吉林市高一数学 第三章第2节《二倍角的正弦、余弦、正切(4)》教案 新人教B版必修4_第3页
3/3
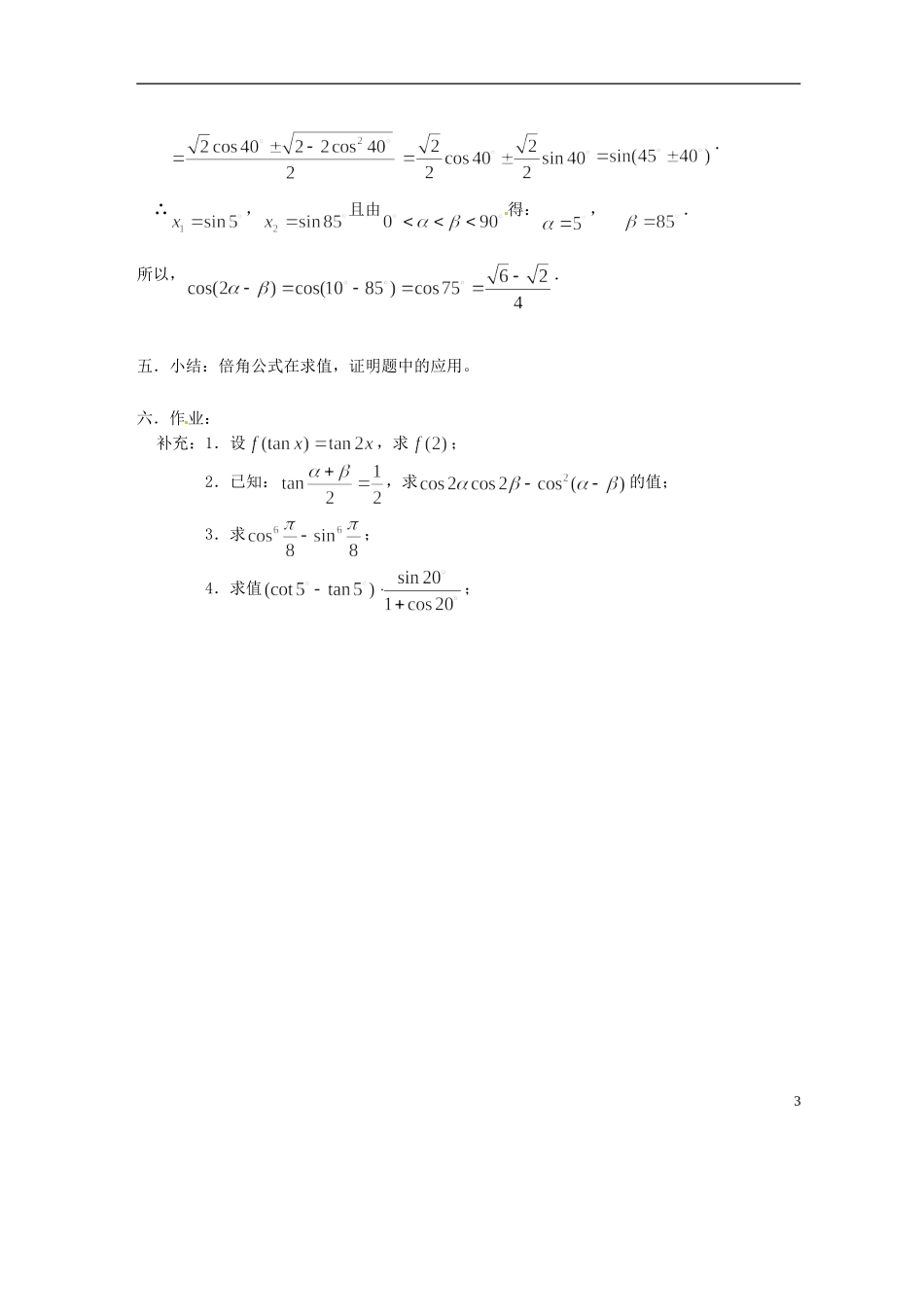
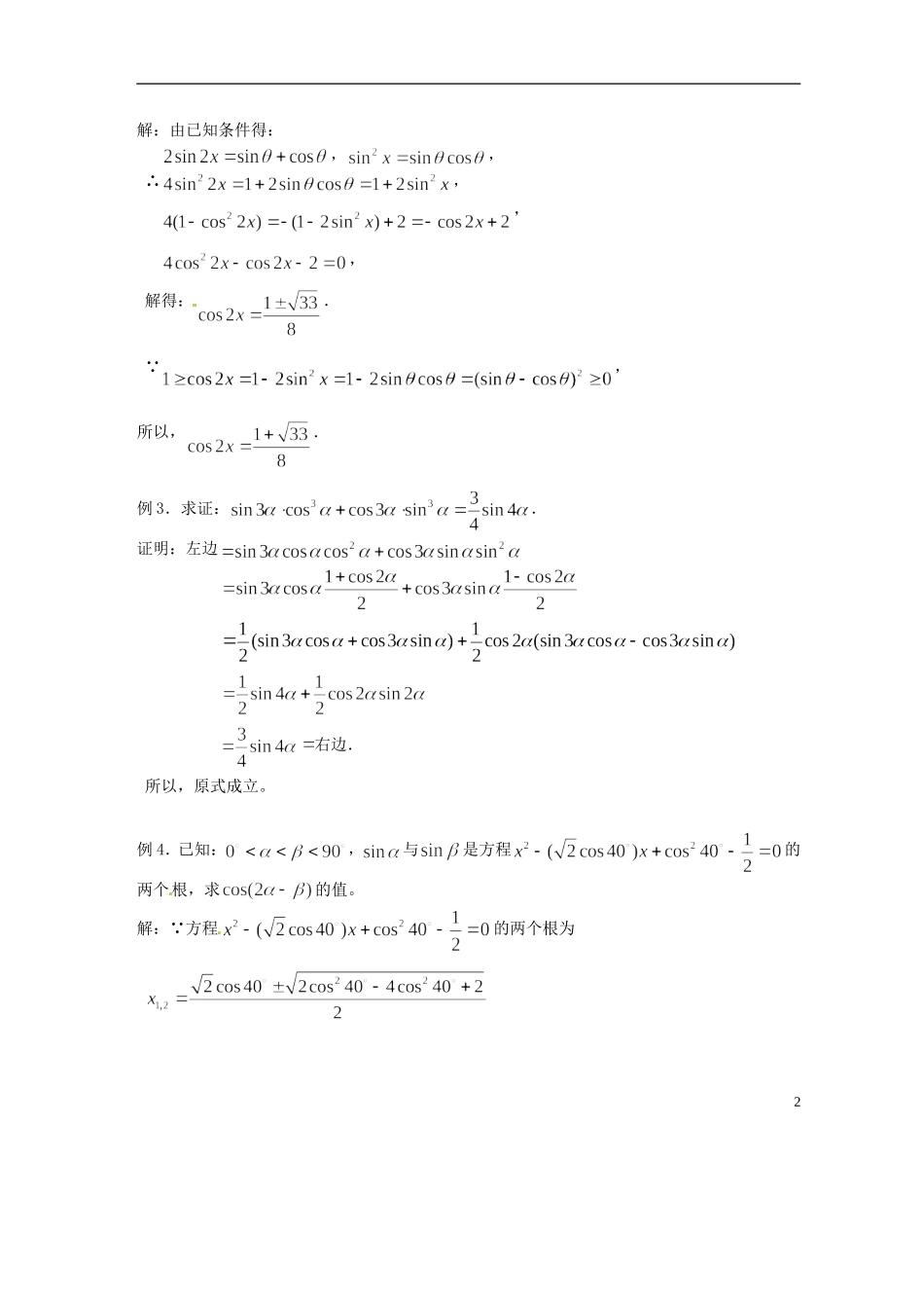
吉林省吉林市高一数学 第三章第 2 节《二倍角的正弦、余弦、正切(4)》教案 新人教 B 版必修 4(一)复习: 1.二倍角公式2.降幂公式: .(二)新课讲解:例 1.已知,,且,为锐角,试求的值。解:∵, ∴ ①又∵, ∴ ②①②,得:,又∵,∴,,∴, 从而.例 2.已知,,成等差数列,,,成等比数列,求的值。1解:由已知条件得:,,∴, , ,解得:.∵,所以,.例 3.求证:.证明:左边右边.所以,原式成立。例 4.已知:,与是方程的两个根,求的值。解:∵方程的两个根为2.∴,且由得:, .所以,. 五.小结:倍角公式在求值,证明题中的应用。 六.作业: 补充:1.设,求; 2.已知:,求的值; 3.求;4.求值;3

1、当您付费下载文档后,您只拥有了使用权限,并不意味着购买了版权,文档只能用于自身使用,不得用于其他商业用途(如 [转卖]进行直接盈利或[编辑后售卖]进行间接盈利)。
2、本站所有内容均由合作方或网友上传,本站不对文档的完整性、权威性及其观点立场正确性做任何保证或承诺!文档内容仅供研究参考,付费前请自行鉴别。
3、如文档内容存在违规,或者侵犯商业秘密、侵犯著作权等,请点击“违规举报”。

碎片内容

吉林省吉林市高一数学 第三章第2节《二倍角的正弦、余弦、正切(4)》教案 新人教B版必修4

您可能关注的文档

文章天下+ 关注
实名认证
内容提供者

各种文档应有尽有

相关文档

确认删除?
VIP
微信客服
  • 扫码咨询
会员Q群
  • 会员专属群点击这里加入QQ群
客服邮箱
回到顶部