电脑桌面
添加小米粒文库到电脑桌面
安装后可以在桌面快捷访问

江苏省白蒲中学2013高一数学 平面向量教案24 苏教版

江苏省白蒲中学2013高一数学 平面向量教案24 苏教版_第1页
1/3
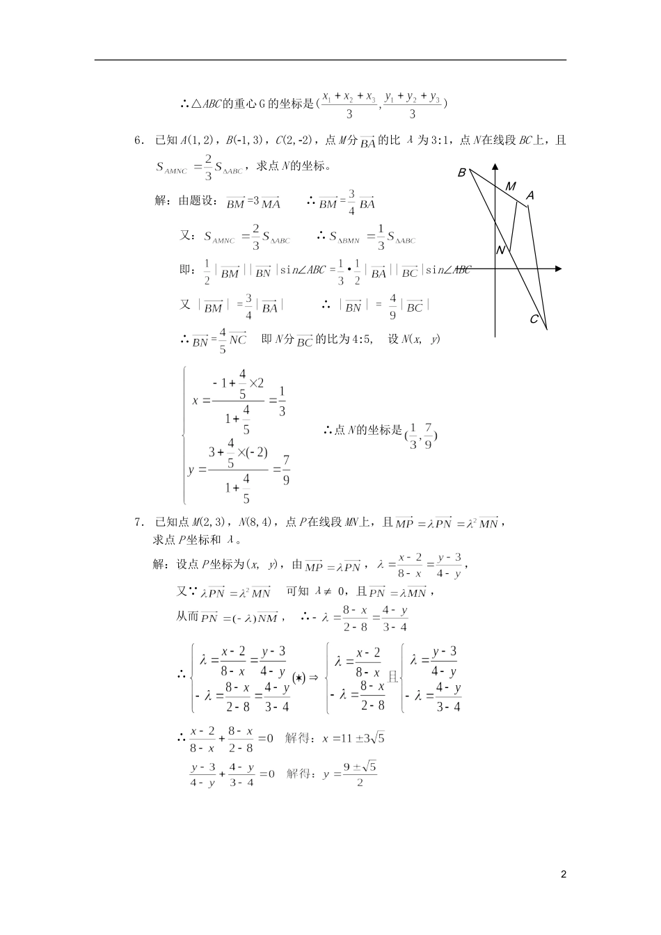
江苏省白蒲中学2013高一数学 平面向量教案24 苏教版_第2页
2/3
江苏省白蒲中学2013高一数学 平面向量教案24 苏教版_第3页
3/3
江苏省白蒲中学 2013 高一数学 平面向量教案 24 苏教版教材:复习三——平面向量的坐标运算、定比分点过程:一、 复习:平面向量坐标的概念,运算法则,定比分点二、 例题:1. 已知四边形的顶点坐标为 A(1,2),B(2,5),C(8,14),D(3,5),求证:四边形 ABCD 是一个梯形。证:∵=(2,3), =(6,9) 且 2×93×6=0 ∴∥又∵=(1,3), =(5,9) 而 1×(9)3×(5)0 ∴∥∴ABCD 为梯形2. 设 a = (1,x),b = (1,3),且 2a + b∥a 2b,试求 x。解:2a + b = (1,), a 2b = (3, x6) ∵2a + b∥a 2b ∴1×(x6)  (2x+3)×3 = 0  x = 33. 已知:A(1,2),B(2,1),C(3,2),D(2,3),1求证:A,B,C 三点不共线2以、为一组基底来表示++解:1∵=(1,3), =(2,4) ∵1×43×20 ∴ ∴A,B,C 三点不共线 2++=(3,5)+(4,2)+(5,1) = (12,8) 设:++= m+ n 即:(12,8) = (m + 2n, 3m + 4n) ∴ ∴++= 32224. 已知 M(1,3),N(4,6),P(x,3),且三点共线,求点 P 分有向线段 MN 所成的比 λ 及 x的值。解: 解得:λ= 2, x = 3 5. 已知△ABC 的顶点是 A(x1, y1),B(x2, y2),C(x3, y3),求△ABC 的重心 G 的坐标(x, y)。解:如图:∵D 是 BC 中点, ∴D 点的坐标()且 G 分有向线段 AD 所成的比 λ=2∴G 的坐标1 A B C G D∴△ABC 的重心 G 的坐标是()6. 已知 A(1,2),B(1,3),C(2,2),点 M 分的比 λ 为 3:1,点 N 在线段 BC 上,且,求点 N 的坐标。解:由题设:=3 ∴=又: ∴即:||||sinABC =•||||sinABC又 || =|| ∴ || = || ∴= 即 N 分的比为 4:5, 设 N(x, y) ∴点 N 的坐标是7. 已知点 M(2,3),N(8,4),点 P 在线段 MN 上,且,求点 P 坐标和 λ。解:设点 P 坐标为(x, y),由,,又∵ 可知 λ 0,且,从而, ∴∴∴2 A B C N M代入检验(*): 或∴点 P 坐标或点 P 坐标三、 作业: 《导学•创新》 §5.4 §5.53

1、当您付费下载文档后,您只拥有了使用权限,并不意味着购买了版权,文档只能用于自身使用,不得用于其他商业用途(如 [转卖]进行直接盈利或[编辑后售卖]进行间接盈利)。
2、本站所有内容均由合作方或网友上传,本站不对文档的完整性、权威性及其观点立场正确性做任何保证或承诺!文档内容仅供研究参考,付费前请自行鉴别。
3、如文档内容存在违规,或者侵犯商业秘密、侵犯著作权等,请点击“违规举报”。

碎片内容

江苏省白蒲中学2013高一数学 平面向量教案24 苏教版

您可能关注的文档

文章天下+ 关注
实名认证
内容提供者

各种文档应有尽有

确认删除?
VIP
微信客服
  • 扫码咨询
会员Q群
  • 会员专属群点击这里加入QQ群
客服邮箱
回到顶部