电脑桌面
添加小米粒文库到电脑桌面
安装后可以在桌面快捷访问

几何五大模型-汇总

几何五大模型-汇总_第1页
1/4
几何五大模型-汇总_第2页
2/4
几何五大模型-汇总_第3页
3/4
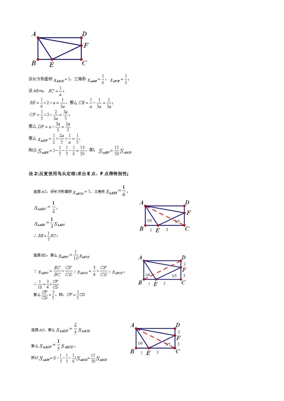
小学平面几何五大模型一、共角定理 两个三角形中有一个角相等或互补,这两个三角形叫做共角三角形、 共角三角形得面积比等于对应角(相等角或互补角)两夹边得乘积之比、 如图在中,分别就就是上得点如图 ⑴(或在得延长线上,在上),则 证明:由三角形面积公式 S=1/2*a*b*si n C 可推导出ﻫ 若△A BC 与△ADE 中, ∠B AC=DA∠E 或∠BA C+∠D AE=1 80°, 则=二、等积模型 ①等底等高得两个三角形面积相等; ②两个三角形高相等,面积比等于它们得底之比; 两个三角形底相等,面积比等于它们得高之比; 如下图 ③夹在一组平行线之间得等积变形,如右图; 反之,假如,则可知直线平行于、 ④等底等高得两个平行四边形面积相等(长方形与正方形可以瞧作特别得平行四边形); ⑤ 三角形面积等于与它等底等高得平行四边形面积得一半; ⑥ 两个平行四边形高相等,面积比等于它们得底之比;两个平行四边形底相等,面积比等于它们得高之比、三、蝶形定理1、任意四边形中得比例关系(“蝶形定理”): ① 或者 ② 速记:上×下=左×右 蝶形定理为我们提供了解决不规则四边形得面积问题得一个途径、通过构造模型,一方面可以使不规则四边形得面积关系与四边形内得三角形相联系;另一方面,也可以得到与面积对应得对角线得比例关系、2、梯形中比例关系(“梯形蝶形定理”): ① ②; ③ 得对应份数为、四、相似模型(一)金字塔模型 (二) 沙漏模型ABCDObaS 3S 2S 1S 4S 4S 3S 2S 1ODCBA ①;②、 相似三角形,就就就是形状相同,大小不同得三角形(只要其形状不改变,不论大小怎样改变它们都相似),与相似三角形相关得常用得性质及定理如下: ⑴ 相似三角形得一切对应线段得长度成比例,并且这个比例等于它们得相似比; ⑵相似三角形得面积比等于它们相似比得平方; ⑶连接三角形两边中点得线段叫做三角形得中位线、 三角形中位线定理:三角形得中位线长等于它所对应得底边长得一半、相似三角形模型,给我们提供了三角形之间得边与面积关系相互转化得工具、在小学奥数里,出现最多得情况就就是因为两条平行线而出现得相似三角形、五、共边定理(燕尾模型与风筝模型) 在中,,,相交于同一点,那么、 上述定理给出了一个新得转化面积比与线段比得手段,因为与得形状很象燕子得尾巴,所以这个定理被称为燕尾定理、该定理在许多几何题目中都有着广泛得运用,它得特别性在于,它可以存在于任何一个三角形之中,为三角形中得三角形面积对应...

1、当您付费下载文档后,您只拥有了使用权限,并不意味着购买了版权,文档只能用于自身使用,不得用于其他商业用途(如 [转卖]进行直接盈利或[编辑后售卖]进行间接盈利)。
2、本站所有内容均由合作方或网友上传,本站不对文档的完整性、权威性及其观点立场正确性做任何保证或承诺!文档内容仅供研究参考,付费前请自行鉴别。
3、如文档内容存在违规,或者侵犯商业秘密、侵犯著作权等,请点击“违规举报”。

碎片内容

几何五大模型-汇总

确认删除?
VIP
微信客服
  • 扫码咨询
会员Q群
  • 会员专属群点击这里加入QQ群
客服邮箱
回到顶部