电脑桌面
添加小米粒文库到电脑桌面
安装后可以在桌面快捷访问

中值滤波例题

中值滤波例题_第1页
1/3
中值滤波例题_第2页
2/3
中值滤波例题_第3页
3/3
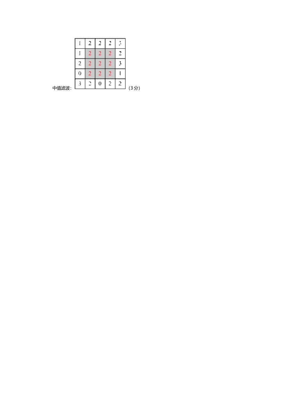
中值滤波例题(1 页)Good is good, but better carries it.精益求精,善益求善。中值滤波5、如图为一幅 16 级灰度的图像。请写出均值滤波和中值滤波的 3x3 滤波器;说明这两种滤波器各自的特点;并写出两种滤波器对下图的滤波结果(只处理灰色区域,不处理边界)。(15 分)题 5 图答:均值滤波:(2 分) 中值滤波:(2 分) 均值滤波可以去除突然变化的点噪声,从而滤除一定的噪声,但其代价是图像有一定程度的模糊;中值滤波容易去除孤立的点、线噪声,同时保持图像的边缘。(5 分) 均值滤波:(3 分) 中值滤波:(3 分)@《:&———。!$;、(【。《,<%||>【,~)}|,:

1、当您付费下载文档后,您只拥有了使用权限,并不意味着购买了版权,文档只能用于自身使用,不得用于其他商业用途(如 [转卖]进行直接盈利或[编辑后售卖]进行间接盈利)。
2、本站所有内容均由合作方或网友上传,本站不对文档的完整性、权威性及其观点立场正确性做任何保证或承诺!文档内容仅供研究参考,付费前请自行鉴别。
3、如文档内容存在违规,或者侵犯商业秘密、侵犯著作权等,请点击“违规举报”。

碎片内容

中值滤波例题

您可能关注的文档

办公文档专营+ 关注
实名认证
内容提供者

大量办公文档,欢迎选择

确认删除?
VIP
微信客服
  • 扫码咨询
会员Q群
  • 会员专属群点击这里加入QQ群
客服邮箱
回到顶部