电脑桌面
添加小米粒文库到电脑桌面
安装后可以在桌面快捷访问

椭圆及其标准方程(授课及说课

椭圆及其标准方程(授课及说课椭圆及其标准方程(授课及说课椭圆及其标准方程(授课及说课椭圆及其标准方程(授课及说课
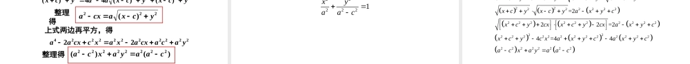
人教 A 版高中数学选修 2-1椭圆及其标准方程一、情境引入,认识椭圆一、情境引入,认识椭圆运动场跑道是不是椭圆形呢?一、情境引入,认识椭圆鸡蛋是不是椭圆形呢?一、情境引入,认识椭圆椭圆的定义是什么呢?斜截面边缘是椭圆一、情境引入,认识椭圆椭圆的定义是什么呢?斜截面边缘是椭圆一、情境引入,认识椭圆跑道不是椭圆!一、情境引入,认识椭圆鸡蛋不是椭圆!一、情境引入,认识椭圆倾斜杯子水平面边缘是椭圆倾斜放置的杯子,水平面边缘是椭圆吗?一、情境引入,认识椭圆如何判断卫星运行轨迹、桌面边缘是椭圆呢?二、定义椭圆,完善定义椭圆的定义:平面内与两个定点 F1 、 F2 的距离之和等于常数 的点的轨迹是椭圆.实验:( 1 )取一条定长的绳子 , 把细绳两端拉开一段距离,分别固定在图板的两点处,并做好标记,套上铅笔,拉紧绳子,移动笔尖,画出的轨迹是什么曲线?二、定义椭圆,完善定义椭圆问题:怎样画出椭圆?二、定义椭圆,完善定义椭圆的定义:平面内与两个定点 F1 、 F2 的距离之和等于常数 的点的轨迹是椭圆.二、定义椭圆,完善定义分析成果问题:若把细绳两端拉直,则画出的轨迹是什么曲线? 线段. .........二、定义椭圆,完善定义 这两个定点叫做椭圆的焦点,两焦点间的距离叫做椭圆的焦距 .椭圆的定义:平面内与两个定点 F1 、 F2 的距离之和等于常数 的点的轨迹是椭圆. ( 大于 |F1F2|) 大家还记得求曲线方程的一般步骤吗?建系列式设点证明化简三、合理建系,推导方程问题 F1F2如何建系更好?(使方程最简洁).圆与坐标轴的关系:圆关于 X 、 Y 、原点对称222+=xyr圆方程的最简单形式:Oxy1F2F1F2Fx以两定点、所在直线为 轴,线段y21FF的垂直平分线为 轴,建立直角坐标系 .cFF221)0( c设,、),c(F01 )0,(2 cF则),(yxM为椭圆上的任意一点,)22(ca 又设a2的和等于、M1F2F与的距离M问题:如何化简含两个根式的方程?aMFMFMP221M椭圆上点的集合为aycxycx2)()(2222Oxy1F2FM问题:如何化简含两个根式的方程?aMFMFMP221M椭圆上点的集合为aycxycx2)()(2222整理得222)(ycxacxa上式两边再平方,得2222222222422yacacxaxaxccxaa整理得)()(22222222caayaxca移项平方,得2222222)()(44)(ycxycxaaycx问题:如何化简含两个根式的方程?22222222caayaxca两边同时...

1、当您付费下载文档后,您只拥有了使用权限,并不意味着购买了版权,文档只能用于自身使用,不得用于其他商业用途(如 [转卖]进行直接盈利或[编辑后售卖]进行间接盈利)。
2、本站所有内容均由合作方或网友上传,本站不对文档的完整性、权威性及其观点立场正确性做任何保证或承诺!文档内容仅供研究参考,付费前请自行鉴别。
3、如文档内容存在违规,或者侵犯商业秘密、侵犯著作权等,请点击“违规举报”。

碎片内容

椭圆及其标准方程(授课及说课

确认删除?
VIP
微信客服
  • 扫码咨询
会员Q群
  • 会员专属群点击这里加入QQ群
客服邮箱
回到顶部