电脑桌面
添加小米粒文库到电脑桌面
安装后可以在桌面快捷访问

幂的运算-习题精选答案

幂的运算-习题精选答案_第1页
1/17
幂的运算-习题精选答案_第2页
2/17
幂的运算-习题精选答案_第3页
3/17
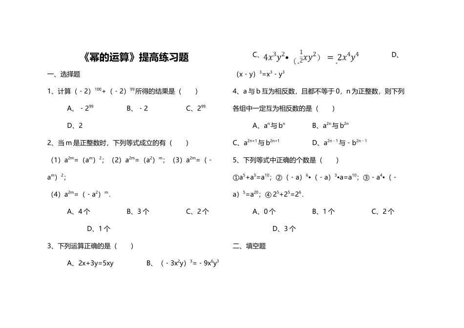
幂的运算-习题精选答案(17页)Good is good, but better carries it.精益求精,善益求善。《幂的运算》提高练习题一、选择题1、计算(﹣2)100+(﹣2)99所得的结果是( )A、﹣299B、﹣2C、299D、22、当 m 是正整数时,下列等式成立的有( )(1)a2m=(am)2;(2)a2m=(a2)m;(3)a2m=(﹣am)2;(4)a2m=(﹣a2)m.A、4 个B、3 个C、2 个D、1 个3、下列运算正确的是( )A、2x+3y=5xyB、(﹣3x2y)3=﹣9x6y3C、D、(x﹣y)3=x3﹣y34、a 与 b 互为相反数,且都不等于 0,n 为正整数,则下列各组中一定互为相反数的是( )A、an与 bnB、a2n与 b2nC、a2n+1与 b2n+1D、a2n﹣1与﹣b2n﹣15、下列等式中正确的个数是( )①a5+a5=a10;②(﹣a)6•(﹣a)3•a=a10;③﹣a4•(﹣a)5=a20;④ 25+25=26.A、0 个B、1 个C、2 个D、3 个二、填空题6、计算:x2•x3= _________ ;(﹣a2)3+(﹣a3)2= _________ .7、若 2m=5,2n=6,则 2m+2n= _________ .三、解答题8、已知 3x(xn+5)=3xn+1+45,求 x 的值。9、若 1+2+3+…+n=a,求代数式(xny)(xn﹣1y2)(xn﹣2y3)…(x2yn﹣1)(xyn)的值.10、已知 2x+5y=3,求 4x•32y的值.11、已知 25m•2•10n=57•24,求 m、n.12、已知 ax=5,ax+y=25,求 ax+ay的值.13、若 xm+2n=16,xn=2,求 xm+n的值.14、比较下列一组数的大小.8131,2741,96115、假如 a2+a=0(a≠0),求 a2025+a2025+12 的值.16、已知 9n+1﹣32n=72,求 n 的值.18、若(anbmb)3=a9b15,求 2m+n的值.19、计算:an﹣5(an+1b3m﹣2)2+(an﹣1bm﹣2)3(﹣b3m+2)20、若 x=3an,y=﹣,当 a=2,n=3 时,求 anx﹣ay 的值.21、已知:2x=4y+1,27y=3x﹣1,求 x﹣y 的值.22、计算:(a﹣b)m+3•(b﹣a)2•(a﹣b)m•(b﹣a)523、若(am+1bn+2)(a2n﹣1b2n)=a5b3,则求 m+n 的值.24、用简便方法计算:(1)(2 )2×42 (2)(﹣0.25)12×412(3)0.52×25×0.125 (4)[( )2]3×(23)3答案与评分标准一、选择题(共 5 小题,每小题 4 分,满分 20 分)1、计算(﹣2)100+(﹣2)99所得的结果是( )A、﹣299B、﹣2C、299D、2考点:有理数的乘方。分析:本题考查有理数的乘方运算,(﹣2)100表示 100 个(﹣2)的乘积,所以(﹣2)100=(﹣2)99×(﹣2).解答:解:(﹣2)100+(﹣2)99=(﹣2)99[(﹣2)+1]=299.故选 C....

1、当您付费下载文档后,您只拥有了使用权限,并不意味着购买了版权,文档只能用于自身使用,不得用于其他商业用途(如 [转卖]进行直接盈利或[编辑后售卖]进行间接盈利)。
2、本站所有内容均由合作方或网友上传,本站不对文档的完整性、权威性及其观点立场正确性做任何保证或承诺!文档内容仅供研究参考,付费前请自行鉴别。
3、如文档内容存在违规,或者侵犯商业秘密、侵犯著作权等,请点击“违规举报”。

碎片内容

幂的运算-习题精选答案

确认删除?
VIP
微信客服
  • 扫码咨询
会员Q群
  • 会员专属群点击这里加入QQ群
客服邮箱
回到顶部