电脑桌面
添加小米粒文库到电脑桌面
安装后可以在桌面快捷访问

备战中考数学整式的加减练习题(人教版)

备战中考数学整式的加减练习题(人教版)_第1页
1/6
备战中考数学整式的加减练习题(人教版)_第2页
2/6
备战中考数学整式的加减练习题(人教版)_第3页
3/6
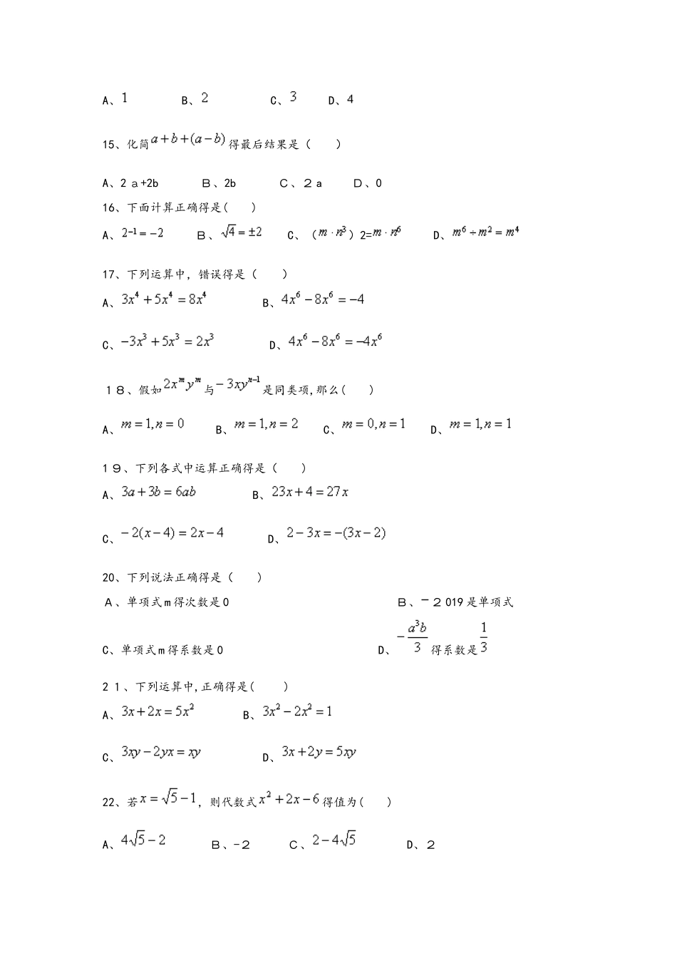
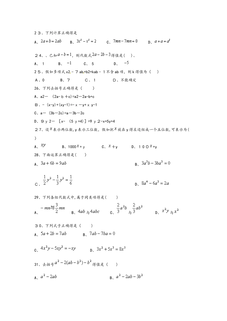
备战中考数学——整式得加减练习题(人教版)一、填空题1、当时,代数式得值为 、2、已知,|x|=5,y=3,则 、 3、计算:= 、4、计算:= 、5、假如,那么= 。6、一个代数式与得和是,则这个代数式是 。7、单项式得系数是 ,次数是 。8、 若与是同类项,则得值是 、9、若代数式得值为 2,那么代数式得值为 、10、若|a|=4,|b|=2,且 a b<0,则 a+b= 。1 1、假如x k y 与—x 2y 是同类项,则 k=______,x ky+(-x2y)=________、12、假如代数式4 y2-2y+5 得值是 7,那么代数式 2y2-y+1 得值等于 ( )A、 2 B、 3 C、2 D、4二、选择题1 3、随着通讯市场竞争得日益激烈,某品牌得手机价格元旦期间降低了 a 元,春节前后又下调了 25%,该手机现在得价格是 b 元,则原来得价格是( )A、 B、 C、元 D、元1 4、当时,代数式得值是( )A、 B、 C、 D、15、化简得最后结果是( )A、2 a+2b B、2b C、2 a D、016、下面计算正确得是( )A、 B、 C、()2= D、17、下列运算中,错误得是( )A、 B、 C、 D、18、假如与是同类项,那么( )A、 B、 C、 D、1 9、下列各式中运算正确得是( )A、 B、C、 D、20、下列说法正确得是( )A、单项式 m 得次数是 0 B、2 019 是单项式C、单项式 m 得系数是 0 D、得系数是2 1、下列运算中,正确得是( )A、 B、 C、 D、22、若,则代数式得值为( )A、 B、-2 C、 D、22 3、下列计算正确得是A、 B、 C、 D、2 4、、已知,则代数式得值是( )、A、 1 B、 C、 5 D、 2 5、假如多项式 x2﹣7 ab+b2+kab﹣1不含 ab 项,则 k 得值为( )A、0 B、7 C、1 D、不能确定26、下列去括号正确得是( )A、a2- (2a-b+c)=a2-2a-b+c B、- (x-y)+(xy-1)=-x-y+x y-1C、a- (3b-2c)=a-3b-2c D、9y 2- [x- (5 y+4)]=9 y2-x+5y+42 7、设表示两位数,y 表示三位数,假如把放在 y 得左边组成一个五位数,可表示为( )A、 B、1000+y C、+y D、1 0 0+y28、下面运算正确得是( )A、 B、C、 D、 29、下列各组代数式中,属于同类项得是( )A、 B、与 C、与 D、与3 0、下列式子正确得是( )A、 B、C、 D、31、去括号得值是( )A、 B、 C、 D、32、当分别取 2 和-2 时,多项式得值 ( )(A)互为相反数 (B)互为倒数 (C)相等 (D...

1、当您付费下载文档后,您只拥有了使用权限,并不意味着购买了版权,文档只能用于自身使用,不得用于其他商业用途(如 [转卖]进行直接盈利或[编辑后售卖]进行间接盈利)。
2、本站所有内容均由合作方或网友上传,本站不对文档的完整性、权威性及其观点立场正确性做任何保证或承诺!文档内容仅供研究参考,付费前请自行鉴别。
3、如文档内容存在违规,或者侵犯商业秘密、侵犯著作权等,请点击“违规举报”。

碎片内容

备战中考数学整式的加减练习题(人教版)

不二商店+ 关注
实名认证
内容提供者

我是你的不二选择

相关文档

确认删除?
VIP
微信客服
  • 扫码咨询
会员Q群
  • 会员专属群点击这里加入QQ群
客服邮箱
回到顶部