电脑桌面
添加小米粒文库到电脑桌面
安装后可以在桌面快捷访问

沪教版七年级下册 12.4 分数指数幂 讲义

沪教版七年级下册 12.4 分数指数幂 讲义_第1页
1/5
沪教版七年级下册 12.4 分数指数幂 讲义_第2页
2/5
沪教版七年级下册 12.4 分数指数幂 讲义_第3页
3/5
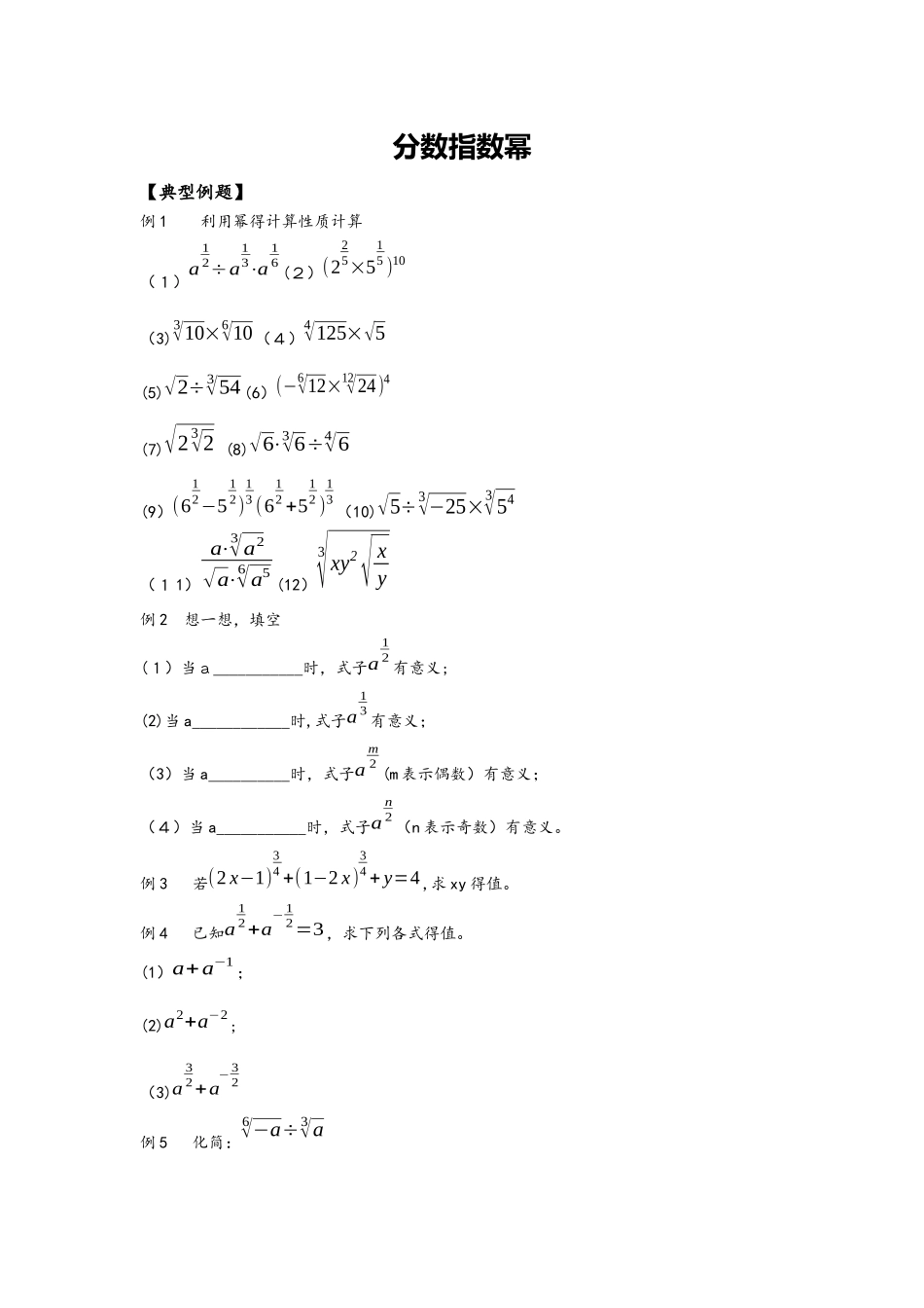
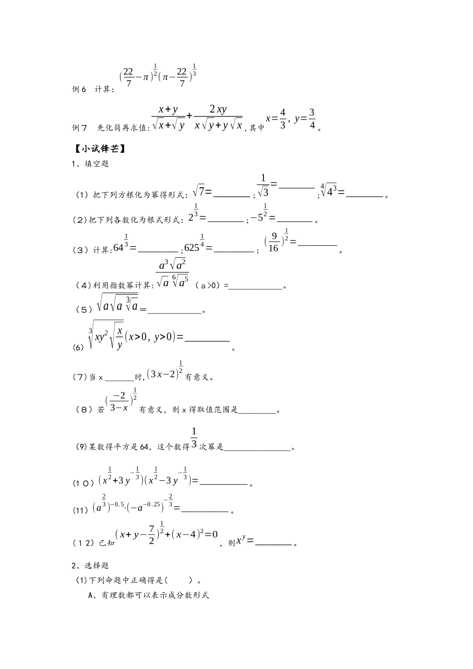
分数指数幂【典型例题】例 1 利用幂得计算性质计算(1)a12÷a13⋅a16 (2)(225×515 )10(3)3√10×6√10 (4)4√125×√5(5)√2÷3√54 (6)(−6√12×12√24)4(7)√23√2 (8)√6⋅3√6÷4√6(9)(612−512)13 (612 +512 )13(10)√5÷3√−25×3√54(1 1)a⋅3√a2√a⋅6√a5(12)3√xy2√xy例 2 想一想,填空(1)当a_________时,式子a12 有意义;(2)当 a_________时,式子a13 有意义;(3)当 a_________时,式子am2 (m 表示偶数)有意义;(4)当 a_________时,式子an2 (n 表示奇数)有意义。例 3 若(2 x−1)34 +(1−2 x)34 + y=4 ,求 xy 得值。例 4 已知a12+a− 12=3,求下列各式得值。(1)a+a−1 ;(2)a2+a−2;(3)a32+a− 32例 5 化简:6√−a÷3√a例 6 计算:(227 −π )12( π−227 )13例7 先化简再求值:x+ y√x+√ y+2 xyx √y+ y √x ,其中x=43 , y=34 。【小试锋芒】1、填空题(1)把下列方根化为幂得形式:√7=_______ ;1√3=_______;4√43=_______ 。(2)把下列各数化为根式形式:213=_______ ;−512=_______ 。(3)计算:6413=________ ;62514=________ ;( 916 )12=________。(4)利用指数幂计算:a3√a2√a6√a5(a>0)=___________。(5)√a√a3√a =___________。(6)3√xy2√xy (x>0, y>0)=_________。(7)当x_______时,(3 x−2)12有意义。(8)若( −23−x )12有意义,则x得取值范围是________。(9)某数得平方是 64,这个数得13 次幂是__________。(1 0)( x12+3 y−13 )( x12−3 y−13 )=__________ 。(11)(a23 )−0.5⋅(−a−0 .25)−23=__________ 。(1 2)已知( x+ y−72 )12+( x−4)2=0,则x y=_______ 。2、选择题(1)下列命题中正确得是( )。A、有理数都可以表示成分数形式B、无理数就是开方开不尽得数C、实数得零次幂为 1D、分数指数幂中得底数可以为一切实数(2)给出六个数:212 、412 、812 、1612 、π、3、1 4,其中无理数共有( )。A、1个 B、2 个 C、3 个 D、4 个(3)下列各式用幂得形式表示方根,其中错误得是( )。A、√3=312 B、1√2=2−12C、3√(−5)2=−523D、−4√3=−314(4)下列各式中错误得是( )。 A、(ab)1n=a1n b1nB、(a−b)1n=a1n−b1n C、(a2b)14=a12 b14D、n√a+b=(a+b)1n(5)设 x>y,则( y−x )13可化为( )。A、[( y−x)2]...

1、当您付费下载文档后,您只拥有了使用权限,并不意味着购买了版权,文档只能用于自身使用,不得用于其他商业用途(如 [转卖]进行直接盈利或[编辑后售卖]进行间接盈利)。
2、本站所有内容均由合作方或网友上传,本站不对文档的完整性、权威性及其观点立场正确性做任何保证或承诺!文档内容仅供研究参考,付费前请自行鉴别。
3、如文档内容存在违规,或者侵犯商业秘密、侵犯著作权等,请点击“违规举报”。

碎片内容

沪教版七年级下册 12.4 分数指数幂 讲义

雏圣文化+ 关注
实名认证
内容提供者

欢迎光临,大量办公文档供您挑选。

相关文档

确认删除?
VIP
微信客服
  • 扫码咨询
会员Q群
  • 会员专属群点击这里加入QQ群
客服邮箱
回到顶部