电脑桌面
添加小米粒文库到电脑桌面
安装后可以在桌面快捷访问

高中数学 第4章 指数与对数章末综合提升教学案(含解析)苏教版必修第一册-苏教版高一第一册数学教学案

高中数学 第4章 指数与对数章末综合提升教学案(含解析)苏教版必修第一册-苏教版高一第一册数学教学案_第1页
1/5
高中数学 第4章 指数与对数章末综合提升教学案(含解析)苏教版必修第一册-苏教版高一第一册数学教学案_第2页
2/5
高中数学 第4章 指数与对数章末综合提升教学案(含解析)苏教版必修第一册-苏教版高一第一册数学教学案_第3页
3/5
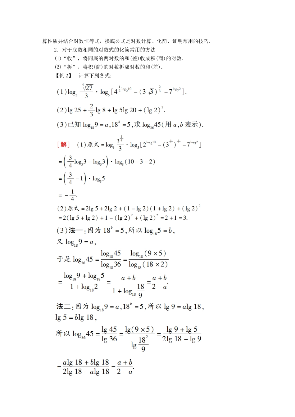
指数与对数[巩固层·知识整合][提升层·题型探究]指数的运算指数幂运算的一般原则(1)有括号的先算括号里的,无括号的先做指数运算.(2)先乘除后加减,负指数幂化成正指数幂的倒数.(3)底数是负数,先确定符号,底数是小数,先化成分数,底数是带分数的,先化成假分数.(4)若是根式,应化为分数指数幂,尽可能用幂的形式表示,运用指数幂的运算性质来解答.[思路点拨] 按照指数的运算性质进行计算,但应注意乘法公式的应用.[跟进训练]1.对数的运算1.对数的运算应遵循的原则对数运算首先注意公式应用过程中范围的变化,前后要等价,熟练地运用对数的三个运算性质并结合对数恒等式,换底公式是对数计算、化简、证明常用的技巧.2.对于底数相同的对数式的化简常用的方法(1)“收”,将同底的两对数的和(差)收成积(商)的对数.(2)“拆”,将积(商)的对数拆成对数的和(差).【例 2】 计算下列各式:[跟进训练]3.计算下列各式:(1)lg 25+lg 2+lg+lg(0.01)-1;(2)2log32-log3+log38-3log55.[解] (1)法一:原式=lg[25×2×10×(10-2)-1]=lg(5×2×10×102)=lg 10=.法二:原式=lg 52+lg 2+lg 10-lg 10-2=(lg 5+lg 2)+-(-2)=lg 10++2=1++2=.(2)法一:原式=log322+log3(32×2-5)+log323-3=log3(22×32×2-5×23)-3=log332-3=2-3=-1.法二:原式=2log32-(5log32-2)+3log32-3=2-3=-1.利用对数的运算性质进行求值对于带有附加条件的与对数式有关的求值问题,如果附加条件比较复杂,则需先对其进行变形、化简,并充分利用其最简结果解决问题.具体解决方法:(1)注意指数式与对数式的互化,有些需要将对数式化为指数式,而有些需要将指数式化为对数式;(2)注意换底公式与对数的运算性质的应用,解题时应全方位、多角度地思考,注意已知条件和所求式子的前后照应.【例 3】 若 lg a+lg b=4,lg a·lg b=,求 lg(ab)·(logab+logba)的值.[解] lg(ab)·(logab+logba)=(lg a+lg b)=(lg a+lg b)·=(lg a+lg b)·=4×=248.[跟进训练]4.若 logab+3logba=,则用 a 表示 b 的式子是 .b=或 b=a6 [ 原式可化为+3logba=,整理得 3(logba)2+1-logba=0,即 6(logba)2-13logba+2=0.解得 logba=2 或 logba=,所以 b2=a 或 b=a.即 b=或 b=a6.]5.已知 lg a+lg b=2lg(a-2b),求 log2的值.[解] 因为 lg a+lg b=2l...

1、当您付费下载文档后,您只拥有了使用权限,并不意味着购买了版权,文档只能用于自身使用,不得用于其他商业用途(如 [转卖]进行直接盈利或[编辑后售卖]进行间接盈利)。
2、本站所有内容均由合作方或网友上传,本站不对文档的完整性、权威性及其观点立场正确性做任何保证或承诺!文档内容仅供研究参考,付费前请自行鉴别。
3、如文档内容存在违规,或者侵犯商业秘密、侵犯著作权等,请点击“违规举报”。

碎片内容

高中数学 第4章 指数与对数章末综合提升教学案(含解析)苏教版必修第一册-苏教版高一第一册数学教学案

您可能关注的文档

文章天下+ 关注
实名认证
内容提供者

各种文档应有尽有

确认删除?
VIP
微信客服
  • 扫码咨询
会员Q群
  • 会员专属群点击这里加入QQ群
客服邮箱
回到顶部