电脑桌面
添加小米粒文库到电脑桌面
安装后可以在桌面快捷访问

高中数学 第一章 导数及其应用 1.2.2 基本初等函数的导数公式及导数的运算法则(2)学案 新人教A版选修2-2-新人教A版高二选修2-2数学学案

高中数学 第一章 导数及其应用 1.2.2 基本初等函数的导数公式及导数的运算法则(2)学案 新人教A版选修2-2-新人教A版高二选修2-2数学学案_第1页
1/3
高中数学 第一章 导数及其应用 1.2.2 基本初等函数的导数公式及导数的运算法则(2)学案 新人教A版选修2-2-新人教A版高二选修2-2数学学案_第2页
2/3
高中数学 第一章 导数及其应用 1.2.2 基本初等函数的导数公式及导数的运算法则(2)学案 新人教A版选修2-2-新人教A版高二选修2-2数学学案_第3页
3/3
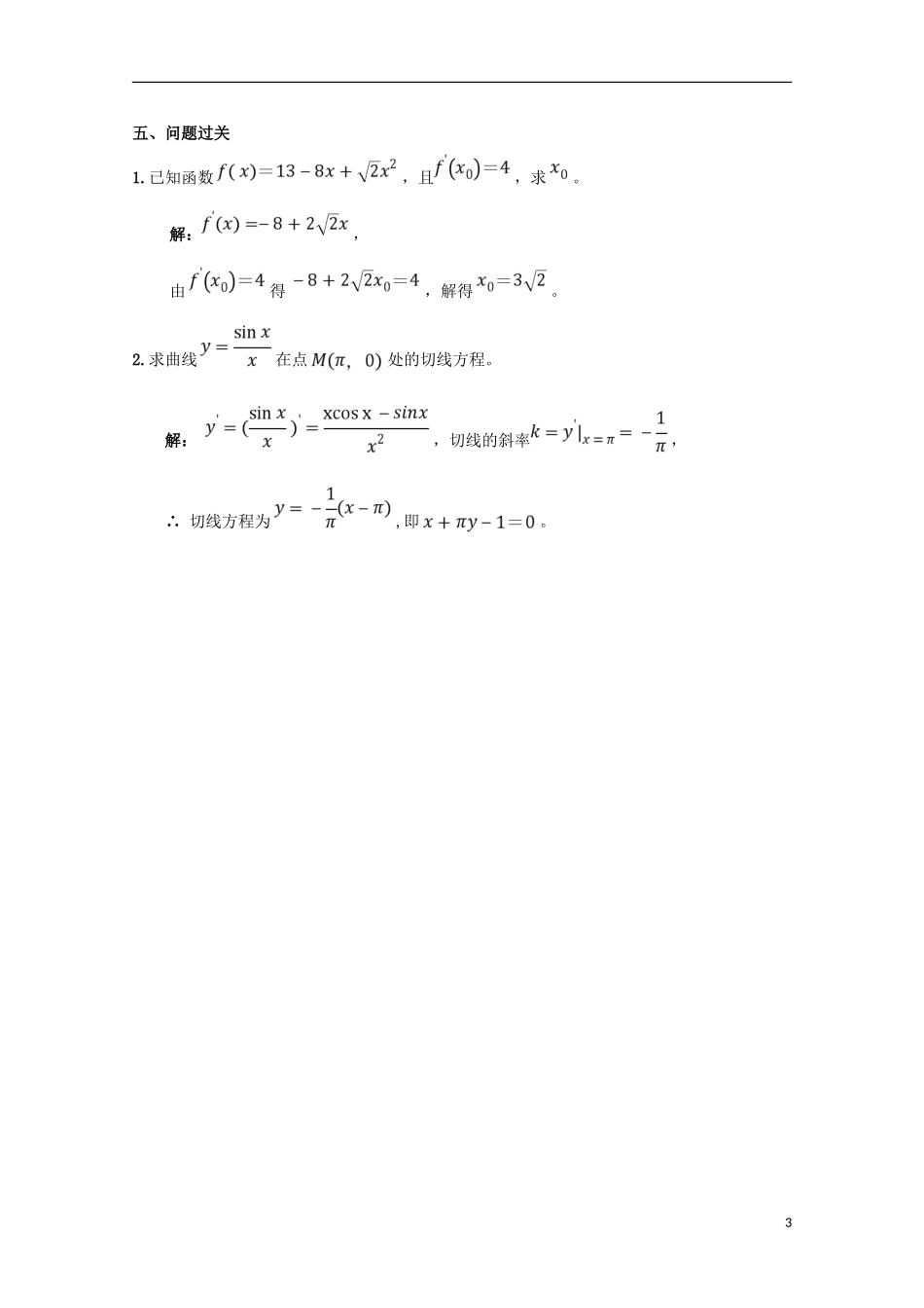
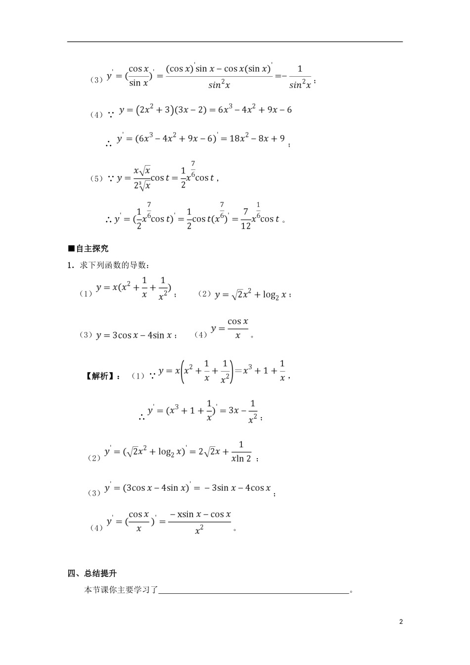
1.2.2 基本初等函数的导数公式及导数的运算法则(2)一、学习要求1.掌握基本初等函数的导数公式及导数的运算法则;2.能利导数的四则运算法则求函数的导数;二、先学后讲1. 导数运算法则若,存在,则(1);(2);(3); (4)。【要点说明】(1)应用函数的和、差、积、商的求导法则求复杂函数的导数时,为简化运算,经常先化简再求导;(2)对含参数的函数求导时,要先明确变量与常量,再根据求导法则求导,避免求导时出现错误。三、问题探究■合作探究例 1.求下列函数的导数: (1); (2); (3); (4); (5).解:(1);(2);1(3);(4)∵∴ ;(5)∵,∴。■自主探究1.求下列函数的导数: (1); (2); (3); (4)。【解析】: (1)∵, ∴; (2); (3);(4)。四、总结提升本节课你主要学习了 。2五、问题过关1.已知函数,且,求。解:,由得,解得。2.求曲线在点处的切线方程。解: ,切线的斜率,∴ 切线方程为,即。3

1、当您付费下载文档后,您只拥有了使用权限,并不意味着购买了版权,文档只能用于自身使用,不得用于其他商业用途(如 [转卖]进行直接盈利或[编辑后售卖]进行间接盈利)。
2、本站所有内容均由合作方或网友上传,本站不对文档的完整性、权威性及其观点立场正确性做任何保证或承诺!文档内容仅供研究参考,付费前请自行鉴别。
3、如文档内容存在违规,或者侵犯商业秘密、侵犯著作权等,请点击“违规举报”。

碎片内容

高中数学 第一章 导数及其应用 1.2.2 基本初等函数的导数公式及导数的运算法则(2)学案 新人教A版选修2-2-新人教A版高二选修2-2数学学案

您可能关注的文档

文章天下+ 关注
实名认证
内容提供者

各种文档应有尽有

相关文档

确认删除?
VIP
微信客服
  • 扫码咨询
会员Q群
  • 会员专属群点击这里加入QQ群
客服邮箱
回到顶部