电脑桌面
添加小米粒文库到电脑桌面
安装后可以在桌面快捷访问

2025年主动邀请患者参与医疗护理安全的评价分析

2025年主动邀请患者参与医疗护理安全的评价分析_第1页
1/4
2025年主动邀请患者参与医疗护理安全的评价分析_第2页
2/4
2025年主动邀请患者参与医疗护理安全的评价分析_第3页
3/4
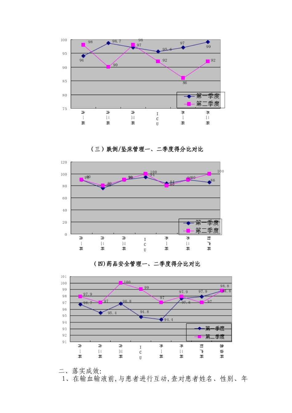
2025 年上半年主动邀请患者参加医疗安全评价分析 根据卫生部的《患者安全目标》相关要求,我院制定主动邀请患者参加医疗护理安全活动措施及流程已近一年,目的在于加强医患合作,降低医疗护理风险.随着我院门诊病人数跟住院病人数逐渐上升,这也要求我们要不断加强医患间的合作,更加主动邀请患者参加到各项护理治疗操作的活动中来,减少环节质量差错事故,保证患者安全.2025 年上半年,在护理部积极监管及其他科室反馈的情况来看,各个临床科室邀请患者与参医疗护理安全活动的落实情况是比较到位的.为了进一步检验护理质量环节中要求患者参加的工作成效,日前护理部将患者身份识别管理、压疮质量管理、患者跌倒坠床管理、安全用药管理几项涉及患者安全质量管理的专项评价标准的质量检查情况作简要总结与分析:一、各项数据对比(一)患者身份识别管理一、二季度得分比对比(二)压疮管理一、二季度得分比对比(三)跌倒/坠床管理一、二季度得分比对比(四)药品安全管理一、二季度得分比对比二、落实成效: 1、在输血输液前,与患者进行互动,查对患者姓名、性别、年龄等均落实的较为到位。 2、在使用药物时,向患者询问姓名等相关信息,患者也十分配合。并且,均有告知患者如何使用该药物及使用的注意事项等. 3、在执行有创护理操作前,均有将该治疗或护理将出现的问题告知患者,并征求患者同意签字。如深静脉置管、静脉留置针使用时均需在护士告知患者及家属留置针使用的必要性和注意事项后征得患者同意并签署知情使用同意书后才执行. 4、患者入院后护理人员及时对其进行压疮及跌倒坠床安全风险评估,并针对具有风险因素的患者及其家属进行相关预防知识健康教育并签署相关知情告知书.如对高危(痛苦、意识不清、孕妇、70岁以上,14 岁以下儿童、行动不便和残疾)患者进行筛选,根据风险程度有针对性的预防(告知患者及家属防跌倒(坠床)知识、持续监护、提供帮助、警示标识及助行器、语言提醒、搀扶或请人帮助等。2025 年 6 月 1 日起我院患者入院压疮及跌倒坠床评估率均达100%。5、患者手术前,需要标识手术部位,除手术医师在术前跟患者共同完成相关标识后,手术室护理人员在术前严格执行查对制度及手术部位标识制度并与患者共同核对标识情况。三、存在问题、原因分析及整改措施(一)患者身份识别与沟通管理:两次中检查全院科室总体改善明显,尤其是外一科、ICU、妇产科提升较大,值得表扬。护理人员执行腕带识别制度良好,但个别患者仍...

1、当您付费下载文档后,您只拥有了使用权限,并不意味着购买了版权,文档只能用于自身使用,不得用于其他商业用途(如 [转卖]进行直接盈利或[编辑后售卖]进行间接盈利)。
2、本站所有内容均由合作方或网友上传,本站不对文档的完整性、权威性及其观点立场正确性做任何保证或承诺!文档内容仅供研究参考,付费前请自行鉴别。
3、如文档内容存在违规,或者侵犯商业秘密、侵犯著作权等,请点击“违规举报”。

碎片内容

2025年主动邀请患者参与医疗护理安全的评价分析

津创媒+ 关注
实名认证
内容提供者

欢迎交流文创,小店资料希望满足您的需要。

确认删除?
VIP
微信客服
  • 扫码咨询
会员Q群
  • 会员专属群点击这里加入QQ群
客服邮箱
回到顶部