电脑桌面
添加小米粒文库到电脑桌面
安装后可以在桌面快捷访问

高中数学一类递推数列问题的解决与延伸

高中数学一类递推数列问题的解决与延伸_第1页
1/4
高中数学一类递推数列问题的解决与延伸_第2页
2/4
高中数学一类递推数列问题的解决与延伸_第3页
3/4
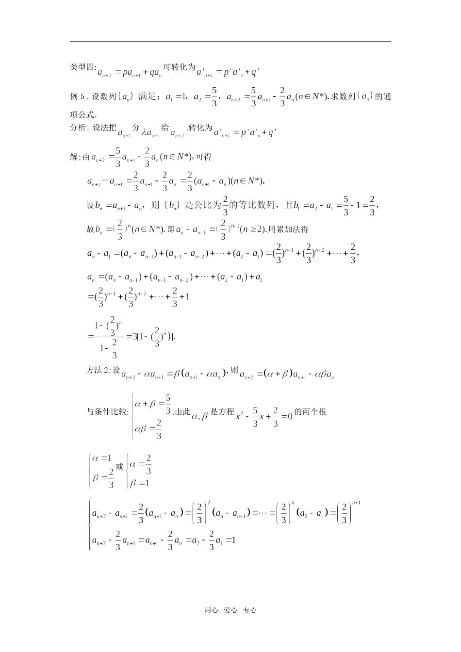
一类递推数列问题的解决与延伸湖南省南县一中 陈敬波(413200)已知数列{an},a1=a,an+1=pan+q(p≠1,q≠0 是常数),求数列{an}的通项公式 an,是高中常见的递推数列问题.这 类 数 列 通 常 可 转 化 为, 或 消 去 常 数 转 化 为 二 阶 递 推 式,或归纳猜想证明.例1.已知数列中,,求的通项公式.解析:解法一.(待定系数法)转化为型递推数列.∵∴又,故数列{}是首项为2,公比为2的等比数列.∴,即.解法二.(差分法形成差数列)转化为型递推数列.∵=2an+1(n≥1) ① ∴=2an+1+1 ②②-①,得(n≥1),故{}是首项为 a2-a1=2,公比为2的等比数列,即,再用累加法得.解法三.用迭代法. 解法四.归纳猜想证明法.,猜想:.用数学归纳法证明(证明略).这类递推数列解决后, 其他类型的递推可以转化并解决.类型一: 这类数列可变换成,令,则转化为型.例 2.设数列求数列的通项公式.解析:∵,两边同除以,得.令,则有用心 爱心 专心.于是,得,∴数列是以首项为,公比 为的 等 比 数 列 , 故, 即, 从 而.类型二: 若取倒数,得,令,从而转化为型.例 3.(08 陕西文 22) 已知数列的首项,,….(Ⅰ)证明:数列是等比数列;(Ⅱ)略解:(Ⅰ) , , ,又,, 数列是以为首项,为公比的等比数列.类型三: 这类数列可取对数得,从而转化为数列.例 4. 已知数列中满足,求数列的通项.解: , 是以为首项,5 为公比的等比数列.用心 爱心 专心类型四:可转化为例5.设数列求数列的通项公式.分析: 设法把分给.转化为解:由可得设故即用累加法得 方法 2:设,则与条件比较:.由此是方程的两个根或用心 爱心 专心由上迭代得: 解决这类问题,可使用下面的定理定理:在数列中, ,为初始值.它的特征方程的两根为,则(1)当时,;(2)当时.(证明略)解法 3: 递推关系对应的特征方程为:则由得:用心 爱心 专心

1、当您付费下载文档后,您只拥有了使用权限,并不意味着购买了版权,文档只能用于自身使用,不得用于其他商业用途(如 [转卖]进行直接盈利或[编辑后售卖]进行间接盈利)。
2、本站所有内容均由合作方或网友上传,本站不对文档的完整性、权威性及其观点立场正确性做任何保证或承诺!文档内容仅供研究参考,付费前请自行鉴别。
3、如文档内容存在违规,或者侵犯商业秘密、侵犯著作权等,请点击“违规举报”。

碎片内容

高中数学一类递推数列问题的解决与延伸

您可能关注的文档

文章天下+ 关注
实名认证
内容提供者

各种文档应有尽有

确认删除?
VIP
微信客服
  • 扫码咨询
会员Q群
  • 会员专属群点击这里加入QQ群
客服邮箱
回到顶部