电脑桌面
添加小米粒文库到电脑桌面
安装后可以在桌面快捷访问

吉林大学工程数学计算方法(第三章习题答案)VIP免费

吉林大学工程数学计算方法(第三章习题答案)_第1页
1/19
吉林大学工程数学计算方法(第三章习题答案)_第2页
2/19
吉林大学工程数学计算方法(第三章习题答案)_第3页
3/19
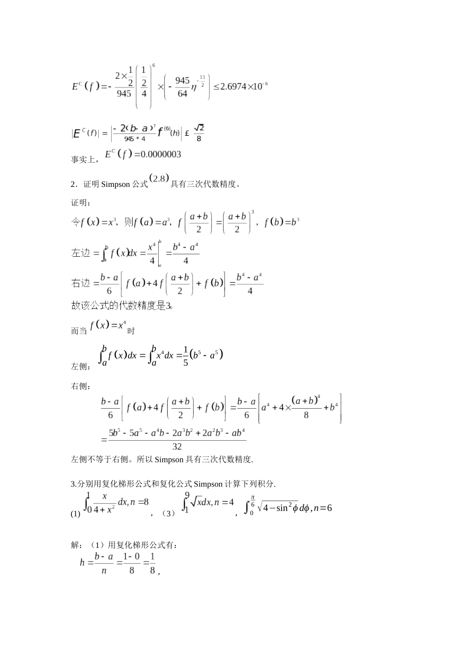
第三章习题答案1.分别用梯形公式、Simpson公式、Cotes公式计算积分计误差。解:1)用梯形公式有:事实上,2)Simpson公式事实上,3)由Cotes公式有:事实上,2.证明Simpson公式具有三次代数精度。证明:而当时左侧:右侧:左侧不等于右侧。所以Simpson具有三次代数精度.3.分别用复化梯形公式和复化公式Simpson计算下列积分.(1),(3),∫0π6√4−sin2ϕdϕ,n=6解:(1)用复化梯形公式有:,45515bbfxdxxdxbaaa∫∫由复化Simpson公式有:解:删去解(3):由复化梯形公式有:由复化公式有:(4)解:∫0π6√4−sin2ϕdϕ,n=6由复化梯形公式:h=b−an=π6−06=π36,ϕk=a+kh,k=1,2,3,4,5T6=h2[f(a)+2∑k=15f(ϕk)+f(b)]=π36[f(0)+2∑k=15f(kπ36)+f(π36)]=1.0356219由复化Simpson公式:S4=13T6+23H6,H6=h∑k=05f(ϕk+12),ϕk+12=ϕk+h2,k=0,1,2,3,4,5H6=π36∑k=05f(π72+kπ36)=1.035834878,S4=1.0357638864.给定求积节点试推出计算积分的插值型求积公式,并写出它的截断误差。解:考虑到对称性,有,于是有求积公式由于原式含有3个节点,故它至少有2阶精度。考虑到其对称性,可以猜想到它可能有3阶精度。事实上,对原式左右两端相等:此外,容易验证原式对不准确,故所构造出的求积公式有3阶精度。5.给定积分。(1)利用复化梯形公式计算上述积分值,使其截断误差不超过(2)取同样的求积节点,改用复化Simpson公式计算时,截断误差是多少?(3)如果要求截断误差不超过,那么使用复化Simpson公式计算时,应将积分区间分成多少等分?解:(1)=,当误差时,25.6,所以取=26。(2)6.用Romberg求积方法计算下列积分,使误差不超过。(1);(2);(3);(4)解(1):2√π∫01e−xdxS2=43T4−13T1=0.713287034,C1=4242−1S2−142−1S1=0.713272026(d)将[0,1]八等分:H4=2√π14[f(18)+f(38)+f(58)+f(78)]=0.711417571T8=12(T4+H4)=0.714200166,S4=43T8−13T4=0.713272634C2=4242−1S4−142−1S2=0.713271674,R1=4343−1C2−143−1C1=0.713271669,|R1−C1|=3.52×10−7<10−5,计算可以停止。解(2):∫02πxsinxdx(a)在[0,2π]上用梯形公式得:T1=2π2[f(0)+f(2π)]=0(b)将[0,2π]二等分:H1=2πf(π)=0,T2=12(T1+H1)=0,S1=43T2−13T1=0(c)将[0,2π]四等分:H2=π[f(π2)+f(3π2)]=−π2=−9.869604401,T4=12(T2+H2)=−4.934802201S2=43T4−13T2=−6.579736267,C1=4242−1S2−142−1S1=7.018385352(d)将[0,2π]八等分:H4=π2∑i=03f(π4+iπ2)=−6.9788642,T8=12(T4+H4)=−5.956833201S4=43T8−13T4=−6.2975102,C2=4242−1S4−142−1S2=−6.278695129R1=4343−1C2−143−1C1=−6.266954014(e)将[0,2π]十六等分H8=π4∑i=07f(π8+iπ4)=−6.447629792,T16=12(T8+H8)=−6.202231497S8=43T16−13T8=−6.284030929,C4=4242−1S8−142−1S4=−6.283132311R2=4343−1C4−143−1C2=−6.283202742,X1=4444−1R2−144−1R1=−6.283266463(f)将[0,2π]三十二等分H16=π8∑i=015f(π16+iπ8)=−6.323740394,T32=12(T16+H16)=−6.262985945S16=43T32−13T16=−6.283237428,C8=4242−1S16−142−1S8=−6.283184528R4=4343−1C8−143−1C4=−6.283185356,X2=4444−1R4−144−1R2=−6.283185288Y1=4545−1X¿X1=−6.283185209(g)将[0,2π]六十四等分:H32=π16∑i=031f(π32+iπ16)=−6.293289853,T64=12(T32+H32)=−6.278137899S32=43T64−13T32=−6.283188551,C16=4242−1S32−142−1S16=−6.283185292R8=4343−1C16−143−1C8=−6.283185304,X4=4444−1R8−144−1R4=−6.283185304Y2=4545−1X4−145−1X2=−6.283185304,Z1=4646−1Y2−146−1Y1=−6.283185304|Z1-Y1|=9.5×10−8<10−5(3)解:∫03x√1+x2dx(a)在[0,3]上用梯形公式T1=32[f(3)+f(0)]=14.23024947(b)将[0,3]二等分:H1=3f(32)=8.11249037,T2=12(T1+H1)=11.17136992,S=43T2−13T1=10.1517434(c)将[0,3]四等分:H2=32[f(34)+f(94)]=9.71622377,T4=12[T2+H2)=10.44379685S2=43T4−13T2=10.20127249,C1=4242−1S2−142−1S1=10.20457443(d)将[0,3]八等分:H4=34∑k=03f(38+3k4)=10.08893752,T8=12[T4+H4]=10.2...

1、当您付费下载文档后,您只拥有了使用权限,并不意味着购买了版权,文档只能用于自身使用,不得用于其他商业用途(如 [转卖]进行直接盈利或[编辑后售卖]进行间接盈利)。
2、本站所有内容均由合作方或网友上传,本站不对文档的完整性、权威性及其观点立场正确性做任何保证或承诺!文档内容仅供研究参考,付费前请自行鉴别。
3、如文档内容存在违规,或者侵犯商业秘密、侵犯著作权等,请点击“违规举报”。

碎片内容

吉林大学工程数学计算方法(第三章习题答案)

墨香书阁+ 关注
实名认证
内容提供者

热爱教学事业,对互联网知识分享很感兴趣

确认删除?
VIP
微信客服
  • 扫码咨询
会员Q群
  • 会员专属群点击这里加入QQ群
客服邮箱
回到顶部