电脑桌面
添加小米粒文库到电脑桌面
安装后可以在桌面快捷访问

XXXX年芜湖县初中小学教师招聘考试笔试成绩公告VIP免费

XXXX年芜湖县初中小学教师招聘考试笔试成绩公告_第1页
1/44
XXXX年芜湖县初中小学教师招聘考试笔试成绩公告_第2页
2/44
XXXX年芜湖县初中小学教师招聘考试笔试成绩公告_第3页
3/44
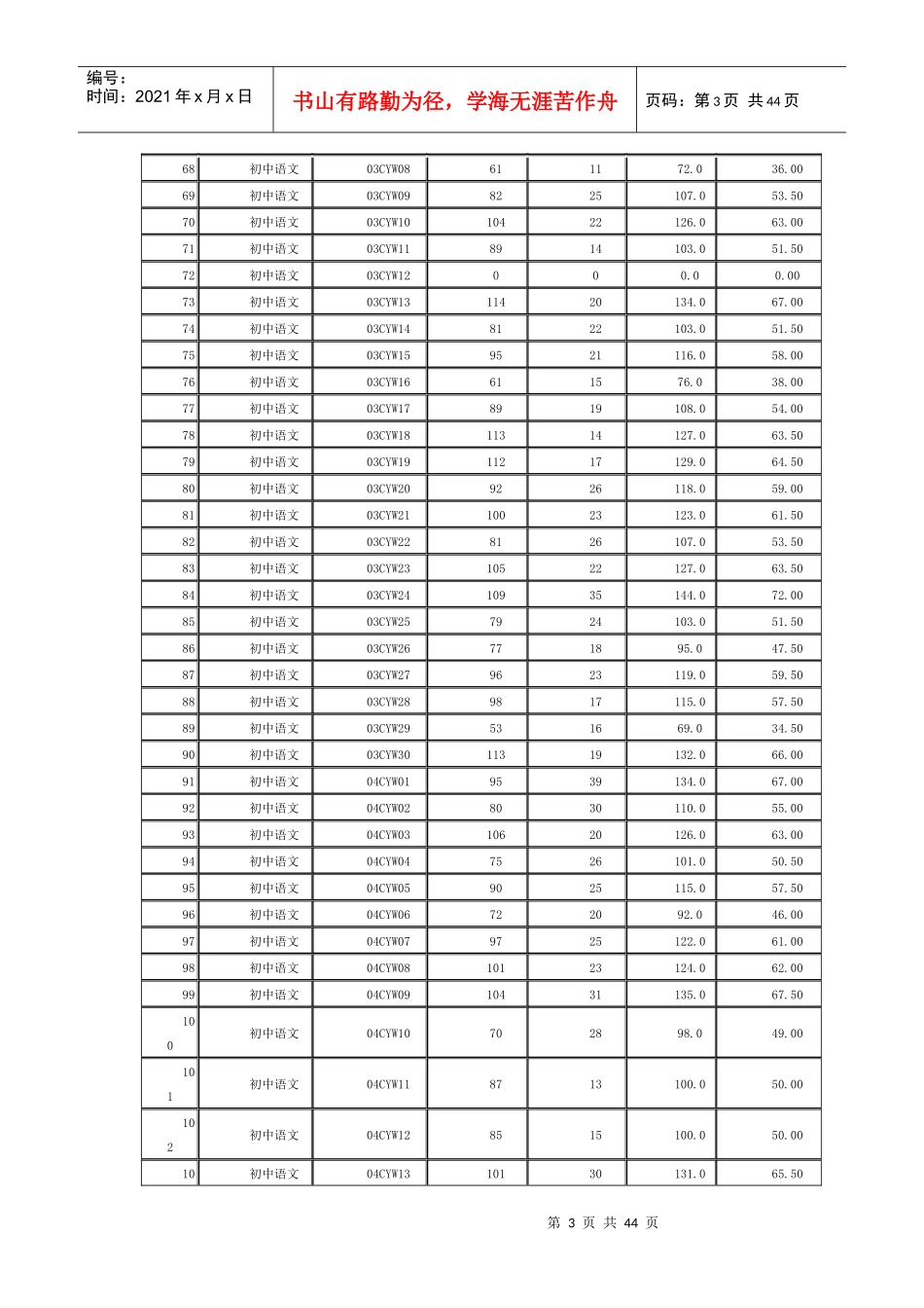
第1页共44页编号:时间:2021年x月x日书山有路勤为径,学海无涯苦作舟页码:第1页共44页现将2011年芜湖县初中小学教师招聘考试笔试成绩予以公告,考生对成绩如有疑议,可于5月24日14∶30至5月25日16∶00到县教育局人事科书面申请查分,逾期不予受理。面试入围人员于5月25日18∶00左右在芜湖县教育网、芜湖县人社网予以公告,请考生密切关注。面试入围人员5月26日8∶00至17∶00到县教育局四楼会议室领取面试材料,办理相关手续。芜湖县2011年初中教师招聘考试笔试成绩序号报考职位准考号专业知识公共知识合计折合分数1初中语文01CYW0110447151.075.502初中语文01CYW029024114.057.003初中语文01CYW038521106.053.004初中语文01CYW04841296.048.005初中语文01CYW05000.00.006初中语文01CYW06482169.034.507初中语文01CYW077836114.057.008初中语文01CYW08581775.037.509初中语文01CYW099628124.062.0010初中语文01CYW108923112.056.0011初中语文01CYW11581775.037.5012初中语文01CYW129633129.064.5013初中语文01CYW1310823131.065.5014初中语文01CYW1410116117.058.5015初中语文01CYW1510423127.063.5016初中语文01CYW16651782.041.0017初中语文01CYW178024104.052.0018初中语文01CYW1812320143.071.5019初中语文01CYW1911121132.066.0020初中语文01CYW20471966.033.0021初中语文01CYW21791897.048.5022初中语文01CYW2211123134.067.0023初中语文01CYW2310032132.066.0024初中语文01CYW2410247149.074.5025初中语文01CYW2511325138.069.0026初中语文01CYW26781694.047.0027初中语文01CYW27681583.041.5028初中语文01CYW289914113.056.50第2页共44页第1页共44页编号:时间:2021年x月x日书山有路勤为径,学海无涯苦作舟页码:第2页共44页29初中语文01CYW29000.00.0030初中语文01CYW309023113.056.5031初中语文02CYW01531871.035.5032初中语文02CYW02821193.046.5033初中语文02CYW03831497.048.5034初中语文02CYW049118109.054.5035初中语文02CYW05741185.042.5036初中语文02CYW068626112.056.0037初中语文02CYW07682391.045.5038初中语文02CYW08701686.043.0039初中语文02CYW098223105.052.5040初中语文02CYW10000.00.0041初中语文02CYW11000.00.0042初中语文02CYW128226108.054.0043初中语文02CYW138722109.054.5044初中语文02CYW148619105.052.5045初中语文02CYW159119110.055.0046初中语文02CYW168033113.056.5047初中语文02CYW178435119.059.5048初中语文02CYW188715102.051.0049初中语文02CYW19672188.044.0050初中语文02CYW206734101.050.5051初中语文02CYW21661884.042.0052初中语文02CYW22672188.044.0053初中语文02CYW2310018118.059.0054初中语文02CYW24571673.036.5055初中语文02CYW2512121142.071.0056初中语文02CYW2611221133.066.5057初中语文02CYW2710323126.063.0058初中语文02CYW28742397.048.5059初中语文02CYW299630126.063.0060初中语文02CYW308819107.053.5061初中语文03CYW017728105.052.5062初中语文03CYW02762298.049.0063初中语文03CYW037931110.055.0064初中语文03CYW0410019119.059.5065初中语文03CYW0510828136.068.0066初中语文03CYW06782098.049.0067初中语文03CYW079245137.068.50第3页共44页第2页共44页编号:时间:2021年x月x日书山有路勤为径,学海无涯苦作舟页码:第3页共44页68初中语文03CYW08611172.036.0069初中语文03CYW098225107.053.5070初中语文03CYW1010422126.063.0071初中语文03CYW118914103.051.5072初中语文03CYW12000.00.0073初中语文03CYW1311420134.067.0074初中语文03CYW148122103.051.5075初中语文03CYW159521116.058.0076初中语文03CYW16611576.038.0077初中语文03CYW178919108.054.0078初中语文03CYW1811314127.063.5079初中语文03CYW1911217129.064.5080初中语文03CYW209226118.059.0081初中语文03CYW2110023123.061.5082初中语文03CYW228126107.053.5083初中语文03CYW2310522127.063.5084初中语文03CYW2410935144.072.0085初中语文03CYW257924103.051.5086初中语文03CYW26771895.047.5087初中语文03CYW279623119.059.5088初...

1、当您付费下载文档后,您只拥有了使用权限,并不意味着购买了版权,文档只能用于自身使用,不得用于其他商业用途(如 [转卖]进行直接盈利或[编辑后售卖]进行间接盈利)。
2、本站所有内容均由合作方或网友上传,本站不对文档的完整性、权威性及其观点立场正确性做任何保证或承诺!文档内容仅供研究参考,付费前请自行鉴别。
3、如文档内容存在违规,或者侵犯商业秘密、侵犯著作权等,请点击“违规举报”。

碎片内容

XXXX年芜湖县初中小学教师招聘考试笔试成绩公告

您可能关注的文档

确认删除?
VIP
微信客服
  • 扫码咨询
会员Q群
  • 会员专属群点击这里加入QQ群
客服邮箱
回到顶部