电脑桌面
添加小米粒文库到电脑桌面
安装后可以在桌面快捷访问

数列常见题型总结经典汇编VIP免费

数列常见题型总结经典汇编_第1页
1/9
数列常见题型总结经典汇编_第2页
2/9
数列常见题型总结经典汇编_第3页
3/9
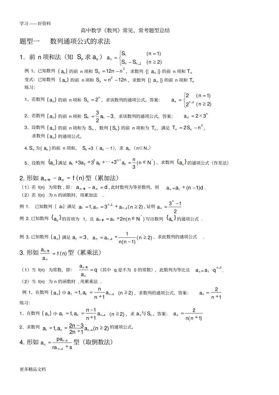
学习-----好资料更多精品文档高中数学《数列》常见、常考题型总结题型一数列通项公式的求法1.前n项和法(知nS求na)11nnnSSSa)2()1(nn例1、已知数列}{na的前n项和212nnSn,求数列|}{|na的前n项和nT变式:已知数列}{na的前n项和nnSn122,求数列|}{|na的前n项和nT练习:1、若数列}{na的前n项和nnS2,求该数列的通项公式。答案:122nna)2()1(nn2、若数列}{na的前n项和323nnaS,求该数列的通项公式。答案:nna323、设数列}{na的前n项和为nS,数列}{nS的前n项和为nT,满足22nSTnn,求数列}{na的通项公式。4.nS为{na}的前n项和,nS=3(na-1),求na(n∈N+)5、设数列na满足2*12333()3nnaaaanNn-1⋯+3,求数列na的通项公式(作差法)2.形如)(1nfaann型(累加法)(1)若f(n)为常数,即:daann1,此时数列为等差数列,则na=dna)1(1.(2)若f(n)为n的函数时,用累加法.例1.已知数列{an}满足)2(3,1111naaannn,证明213nna例2.已知数列na的首项为1,且*12()nnaannN写出数列na的通项公式.例3.已知数列}{na满足31a,)2()1(11nnnaann,求此数列的通项公式.3.形如)(1nfaann型(累乘法)(1)当f(n)为常数,即:qaann1(其中q是不为0的常数),此数列为等比且na=11nqa.(2)当f(n)为n的函数时,用累乘法.例1、在数列}{na中111,1nnannaa)2(n,求数列的通项公式。答案:12nan练习:1、在数列}{na中1111,1nnannaa)2(n,求nnSa与。答案:)1(2nnan2、求数列)2(1232,111nannaann的通项公式。4.形如srapaannn11型(取倒数法)学习-----好资料更多精品文档例1.已知数列na中,21a,)2(1211naaannn,求通项公式na练习:1、若数列}{na中,11a,131nnnaaa,求通项公式na.答案:231nan2、若数列}{na中,11a,112nnnnaaaa,求通项公式na.答案:121nan5.形如0(,1cdcaann,其中aa1)型(构造新的等比数列)(1)若c=1时,数列{na}为等差数列;(2)若d=0时,数列{na}为等比数列;(3)若01且dc时,数列{na}为线性递推数列,其通项可通过待定系数法构造辅助数列来求.方法如下:设)(1AacAann,利用待定系数法求出A例1.已知数列}{na中,,2121,211nnaaa求通项na.练习:1、若数列}{na中,21a,121nnaa,求通项公式na。答案:121nna2、若数列}{na中,11a,1321nnaa,求通项公式na。答案:1)32(23nna6.形如)(1nfpaann型(构造新的等比数列)(1)若bknnf)(一次函数(k,b是常数,且0k),则后面待定系数法也用一次函数。例题.在数列{}na中,231a,3621naann,求通项na.解:原递推式可化为bnkabknann)1()(21比较系数可得:k=-6,b=9,上式即为12nnbb所以nb是一个等比数列,首项299611nab,公比为21.1)21(29nnb即:nnna)21(996,故96)21(9nann.练习:1、已知数列na中,31a,2431naann,求通项公式na(2)若nqnf)((其中q是常数,且n0,1)①若p=1时,即:nnnqaa1,累加即可②若1p时,即:nnnqapa1,后面的待定系数法也用指数形式。两边同除以1nq.即:qqaqpqannnn111,令nnnqab,则可化为qbqpbnn11.然后转化为类型5来解,例1.在数列{}na中,521a,且)(3211Nnaannn.求通项公式na1、已知数列na中,211a,nnnaa)21(21,求通项公式na。答案:121nnna2、已知数列na中,11a,nnnaa2331,求通项公式na。答案:nnna23371题型二根据数列的性质求解(整体思想)1、已知nS为等差数列na的前n项和,1006a,则11S;学习-----好资料更多精品文档2、设nS、nT分别是等差数列na、na的前n项和,327nnTSnn,则55ba.3、设nS是等差数列na的前n项和,若5935,95SSaa则()5、在正项等比数列na中,153537225aaaaaa,则35aa_______。6、已知nS为等比数列na前n项和,54nS,602nS,则nS3.7、在等差数列na中,若4,184SS,则20191817aaaa的值为()8、在等比数列中,已知910(0)aaaa,1920aab,则99100aa.题型三:证明数列是等差或等比数列A)证明数列等差例1、已知数列{an}的前n项和为Sn,且满足an+2Sn·Sn-1=0(n≥2),a1=21.求证:{nS1}是等差数列;B)证明数列等比例1、已知数列na满足*12211,3,32().nnnaaaaanN⑴证明:数列1nnaa是等比数列;⑵求数列na的通项公式;题型四:求数列的前n项和基本方法:A)公式法,B)分组求和法1、求数列n{223}n的前n项和nS.2.)12()1(7531nSnn3.若...

1、当您付费下载文档后,您只拥有了使用权限,并不意味着购买了版权,文档只能用于自身使用,不得用于其他商业用途(如 [转卖]进行直接盈利或[编辑后售卖]进行间接盈利)。
2、本站所有内容均由合作方或网友上传,本站不对文档的完整性、权威性及其观点立场正确性做任何保证或承诺!文档内容仅供研究参考,付费前请自行鉴别。
3、如文档内容存在违规,或者侵犯商业秘密、侵犯著作权等,请点击“违规举报”。

碎片内容

数列常见题型总结经典汇编

您可能关注的文档

确认删除?
VIP
微信客服
  • 扫码咨询
会员Q群
  • 会员专属群点击这里加入QQ群
客服邮箱
回到顶部